Particiell integration
Hej!
Har löst ett par sånna här men den här är en riktig kluring. Skulle behöva en slavisk lösningsföljd för att se var jag gör fel.
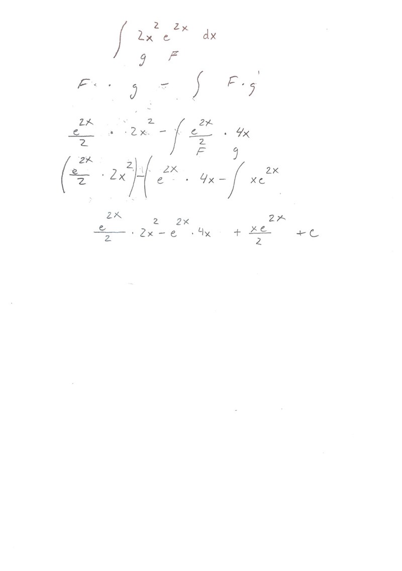
Primtiv till 2X^2 * e^2X
Hur har du gjort? Skriv ut sin lösning
Hondel skrev:Hur har du gjort? Skriv ut sin lösning

Okej. Första steget ser rätt ut. Däremot ser du ut att göra flera fel i andra steget: du har tappat en division med 2 (det står bara e^(2x)), du integrerar inte e^(2x)/2, och du har glömt att derivera.
Hondel skrev:Okej. Första steget ser rätt ut. Däremot ser du ut att göra flera fel i andra steget: du har tappat en division med 2 (det står bara e^(2x)), du integrerar inte e^(2x)/2, och du har glömt att derivera.

Nu börjar vi närma oss. Men nu blir det fel i din sista integration. Vad är integralen av e^(2x)/2? Inte e^(2x) som du skrivit nu i alla fall. Och sedan missar du att multiplicera in 2:an på den andra och tredje termen. Och glöm inte konstanten, den hade du med i första förslaget :)