8 svar
147 visningar
pass behöver inte mer hjälp
pass 48
Postad: 29 apr 2019 13:34

Partiell derivering

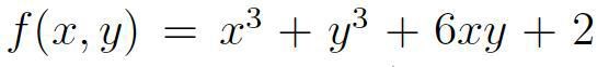
Jag ska derivera det här där jag håller y konstant och deriverar x, alltså f´x(x,y). Dock undrar jag hur man tänker vid 6xy?

Resten kan jag, men det sätter stop vid 6xy. tack.

Moffen 1877
Postad: 29 apr 2019 13:41

Du säger ju själv att y hålls konstant, vad är derivatan, m.a.p x, av c*6xdär c är en konstant oberoende av x? (precis som y är i detta fall).

Smaragdalena 78892 – Avstängd
Postad: 29 apr 2019 13:44

Du räknar med att y är en konstant, så derivatan med avseende på x av 6xy är 6y.

pass 48
Postad: 29 apr 2019 14:13

Men varför blir y kvar om y är konstant? Ska inte den deriveras bort då??

Moffen 1877
Postad: 29 apr 2019 14:17
pass skrev:

Men varför blir y kvar om y är konstant? Ska inte den deriveras bort då??

Derivera följande m.a.p x:

1) f(x)=x

2) f(x)=2x

3) f(x)=k*x, k en konstant (oberoende av x)

4) f(x)=6*k*x, k en konstant (oberoende av x)

pass 48
Postad: 29 apr 2019 14:21

1) f(x)=x f´(x)=0

2) f(x)=2x f´(x)=2

3) f(x)=k*x, k en konstant (oberoende av x) f´(x)=k

4) f(x)=6*k*x, k en konstant (oberoende av x) f´(x)=6k

Moffen 1877
Postad: 29 apr 2019 14:24 Redigerad: 29 apr 2019 14:25
pass skrev:

1) f(x)=x f´(x)=0

2) f(x)=2x f´(x)=2

3) f(x)=k*x, k en konstant (oberoende av x) f´(x)=k

4) f(x)=6*k*x, k en konstant (oberoende av x) f´(x)=6k

Korrekt, låt nu den godtyckligt valda konstanten betecknas y, derivera då:

1) f(x)=6xy, y en konstant (oberoende av x).


Låt nu f(x,y)=6xy, beräkna fx(x,y).

pass 48
Postad: 29 apr 2019 14:33
Moffen skrev:
pass skrev:

1) f(x)=x f´(x)=0

2) f(x)=2x f´(x)=2

3) f(x)=k*x, k en konstant (oberoende av x) f´(x)=k

4) f(x)=6*k*x, k en konstant (oberoende av x) f´(x)=6k

Korrekt, låt nu den godtyckligt valda konstanten betecknas y, derivera då:

1) f(x)=6xy, y en konstant (oberoende av x).


Låt nu f(x,y)=6xy, beräkna fx(x,y).

f´(x)= 6y , så när det är en konstant derivas bort om den står själv, men en konstant med x så derivas enbart x bort och konstanten står kvar? Medan en vid en två konstanter så derives enbart x bort och kvar blir 6y? Måste samtidigt tacka dig för din utförliga förklaring, Tack!

Moffen 1877
Postad: 29 apr 2019 14:39
pass skrev:

f´(x)= 6y , så när det är en konstant derivas bort om den står själv, men en konstant med x så derivas enbart x bort och konstanten står kvar? Medan en vid en två konstanter så derives enbart x bort och kvar blir 6y? Måste samtidigt tacka dig för din utförliga förklaring, Tack!

Reglerna som används är: f(x)=xn  f'(x)=nxn-1 samt ddx(c*f(x))=c*ddxf(x) för en konstant c (oberoende av x). Så i alla dessa fall: ddx(6xy)=6*y*ddx(x)=6*y*1=6y.

Svara
Close