2
svar
138
visningar
Nayazo behöver inte mer hjälp
Partiell integration
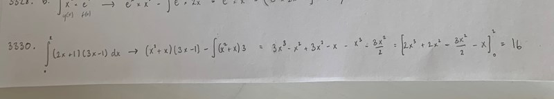
Hej,
jag förstår inte vad jag gör för fel... svaret ska bli 161.


Ett sätt att övertyga sig själv att man gjort rätt är att lösa problemet med en annan metod. Jag får också svaret 16 om jag utvecklar uttrycket innan jag tar primitiv funktion. Det kan stå fel i facit.
Jag läste fel i facit hehe