1
svar
62
visningar
offan123 behöver inte mer hjälp
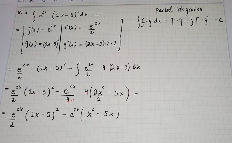
Partiell integration
Måste jag ta PI igen redan i andra ledet (efter klamrarna)?
Enligt min uppfattning måste göra en pi till med det röda uttrycket, det innehåller både x o e^x.
