Partiell integration
Hej!
Hade behövt hjälp att lösa denna uppgiften, ska utveckla integralen med partiell integration:
.
Lösning:
Kompenserar först med , utanför den nya integralen, sedan bryter jag ut:
Vilket är fel eftersom den primitiva funktionen ska bli:
Fattar inte vad det är jag gör för fel?
Hej, varför "kompenserar" du med ?
För att dU är 1/x?
Jag tror det kan blivit lite missuppfattning, det jag tror är att ditt dU är d/dx(U)=1/x. Du har alltså gjort rätt fram tills du kommer till beräkning av integraler, där du börjar kompensera, det räcker med att beräkna .
(Jag antar att det kanske är din föreläsare som föredrar att skriva dU, vilket jag tycker kan vara väldigt missvisande)
Tillägg:
Jag tror missuppfattningen kan ligga i att du blandar in substitution, vilket inte är nödvändigt i detta fall.
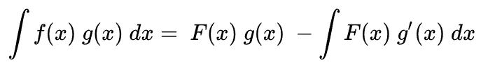
JAg tycker att det mest lättförstådda sättet att skriva formeln för partiell integration är den här:

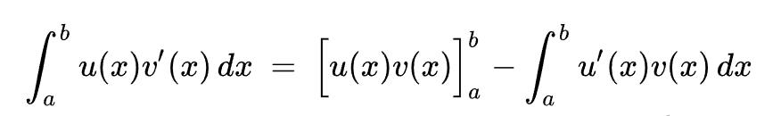
Ibland (läs: ofta!) ser man den här skrivningen, som visserligen är samma sak, men ngt förvirrande:

Tack, men vet fortfarande inte om jag förstår riktigt. Alltså om man utgår från högerledet, där jag integrerat och deriverat :
där vi alltså bryter ut ? För att sedan integrera igen?
julia.ehr skrev:Tack, men vet fortfarande inte om jag förstår riktigt. Alltså om man utgår från högerledet, där jag integrerat och deriverat :
där vi alltså bryter ut ? För att sedan integrera igen?
Precis så ska man göra !