Partiell integration
Hej är det någon snäll själ där ute som vill hjälpa mig med denna integral
jag använder mig av partiell integration när jag försöker lösa den men kommer inte fram till lösning, jag fastnar alltid och vet inte hur jag ska sätta ihop alla termer. Kan också infoga mitt försök, svaret ska bli .

Hej.
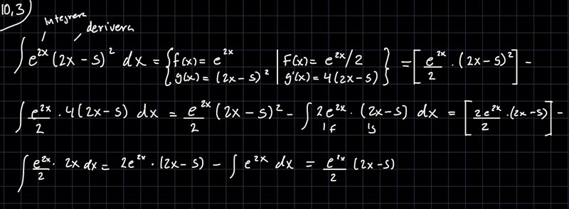
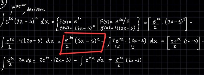
Du tappar bort en term:

på andra raden tappar du bort minustecknet som står framför sista integralen, likadant i nästa steg.
Sen gör du fel som skriver likhetstecken mellan dina steg, eftersom du konsekvent tappar bort en term
Ture skrev:på andra raden tappar du bort minustecknet som står framför sista integralen, likadant i nästa steg.
Sen gör du fel som skriver likhetstecken mellan dina steg, eftersom du konsekvent tappar bort en term
förlåt om jag är jobbig nu men jag gjorde som ni sa men jag får inte till det med dom andra termerna, jag har verkligen försökt förstå den här uppgiften men jag känner mig jätte förvirrad, skulle du kunna hjälpa mig att förstå den bättre? vad ska jag skriva efter att jag byte ut likhetstecken mot en minus?
Med reservation för ev skrivfel borde det bli enligt ovan. Sista raden överlåter jag åt dig att förenkla...
Det kan vara svårt att hålla reda på allting.
Jag rekommenderar att du delar upp det hela i mindre bitar, speciellt om du måste upprepa den partiella integrationen flera gånger.
Förslag:
Sätt
Med hjälp av partiell integration får vi då att
, där
Fortsätt nu att bestämma med hjälp av partiell integration:
Nu kan du sätta ihop allt.
och så vidare.