1
svar
92
visningar
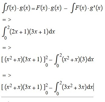
Partiell integration
Min fråga: Hur ska man lösa uppgiften med enbart partiell integration?:
Uppgiftens fråga: Beräkna på två olika sätt dels med partiell integration, dels genom att först multiplicera ihop paranteserna.
Mitt svar:
Kort sagt gav detta fel svar, facit säger: 16??
Eller skulle jag ha gjort såhär?:

