Partiell integration av (ln x)^2
Hej! Jag har fastnat på en uppgift där tanken är att man ska använda partiell integration. Uppgiften lyder så här: integrera (ln2x). (Antar att detta betyder (ln x)(ln x).
Tips: partialintegrera två gånger.
Jag försöker följa rådet men kör fast, då jag på något sätt trots allt verkar behöva ta reda på ln:s primitiva funktion, vilket jag inte vet hur man gör. Jag antar att jag tänker fel någonstans men jag förstår inte var, så jag skulle behöva tips på hur man löser den här uppgiften.
Stort tack på förhand!

Partiell integration fungerar på den här uppgiften. Provade själv och valde att sätta hela uttrycket (ln(x))^2 till den "delen" som deriveras och 1 till den "delen" som integreras. Man kommer då fram till ett svar som följer tipset att partialintegrera två gånger.
Jag förstår, tack, jag ska testa det!
Hej!
Jag försöker göra partiell integration genom att sätta hela (ln(x))^2 till den delen som ska deriveras, men jag kör ändå fast.
Tror du att du skulle kunna visa hur du räknar?
Jag har inte tänkt så mycket på uppgiften men jag vet att man kan få fram en primitiv funktion till ln(x) med partiell integration.
Ellinor skrev:Hej!
Jag försöker göra partiell integration genom att sätta hela (ln(x))^2 till den delen som ska deriveras, men jag kör ändå fast.Tror du att du skulle kunna visa hur du räknar?
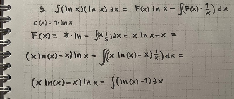
.
Här är alltså
Tack så mycket!
Även om du löst det nu, här kommer ett annat tips.
Du kan substituera u=lnx
Då blir dx=e^u du
Då blir integranden u^2 *e^u som rent allmänt brukar ses som enklare att partialintegrera än ursprungsintegralen.
Tack!