3
svar
167
visningar
Partiella derivator flervarren
Hejhej,
Jag har lite svårt med följande uppgift:
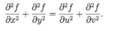
Visa att för en rotation i planet

och en två gånger deriverbar funktion f gäller följande: 
Jag tror att jag ska använda kedjeregeln för att lösa men förstår inte riktigt vad den inre funktionen bör vara. Jag tror att den yttre funktionen blir själva matrismultiplikationen med rotationsmatrisen.
Ett sätt är att använda matrisnotation. Från vad som är givet kan vi härleda att
.
= .... .
Hur får jag första delen? Är det en inversen av rotationen?