5
svar
203
visningar
BabySoda behöver inte mer hjälp
partiella differentialekvationer av andra ordning
Uppgift:
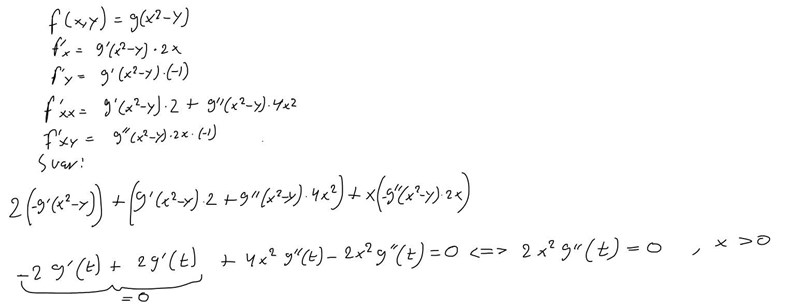
Finn alla lösningar av formen
Min lösning
Svar i facit:
, A och B är konstanter
Ser ut som att du satt in istället för i diffekvationens första term.
Skaft skrev:Ser ut som att du satt in istället för i diffekvationens första term.
oj skrev fel, det ska stå f'y i första term
Aha =) Ja men då ser det bra ut så långt. Du har kommit fram till att
, och eftersom x > 0 kan vi dividera bort koefficienten och få
Vad vet vi då om g'?
Aha så man bara gör som vanligt då, alltså ta primitiv funktion 2 ggr.