partiella differentialekvationer av andra ordning
Uppgift:
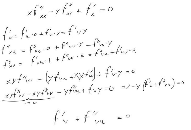
Bestäm alla lösningar till , m.h.a införa den nya variablerna
Min lösning:

svar i facit:
, där g och h är två ggr kontinuerligt deriverbara funktioner av en variabel
Ditt innehåller faktorn y, men det y:et verkar saknas när du beräknar andraderivatorna =)
Skaft skrev:Ditt innehåller faktorn y, men det y:et verkar saknas när du beräknar andraderivatorna =)
Ja, det är sant. Nu får jag det till, vilket stämmer

men om sista termen hade varit eller hade premetiven varit
eller hade det blivit mer komplicerat?
Nja, tänk på vad som försvinner i deriveringssteget. Det beror på vilken variabel man deriverar med avseende på.
Om ekvationen du kommit fram till var , då har man alltså deriverat funktionen med avseende på v, och fått noll. Vilka sorters funktioner deriveras till noll, om v är variabeln? Jo, funktioner som inte använder v. Dvs, konstanter, eller mer generellt: funktioner av u (en konstant funktion kan också sägas vara en funktion av u). Så: .
Sen försöker vi backa ett steg till. En funktion har deriverats med avseende på v, och blivit g(u). Hur kan den ursprungliga funktionen sett ut? Jo, eftersom v är variabeln, fungerar g(u) som en konstant. Eftersom den kvarstår efter derivering, måste det varit en koefficient till v. Dessutom kan det funnits en annan funktion av u, som försvann i deriveringen. Så: (kontrollderivera gärna). Så, i det fallet borde du få f(x,y) = xy*g(y) + h(y), om jag inte tänker fel.