2
svar
100
visningar
ssitt behöver inte mer hjälp
Partikelns kinetik: Vilket av dessa 2 svar är rätt?
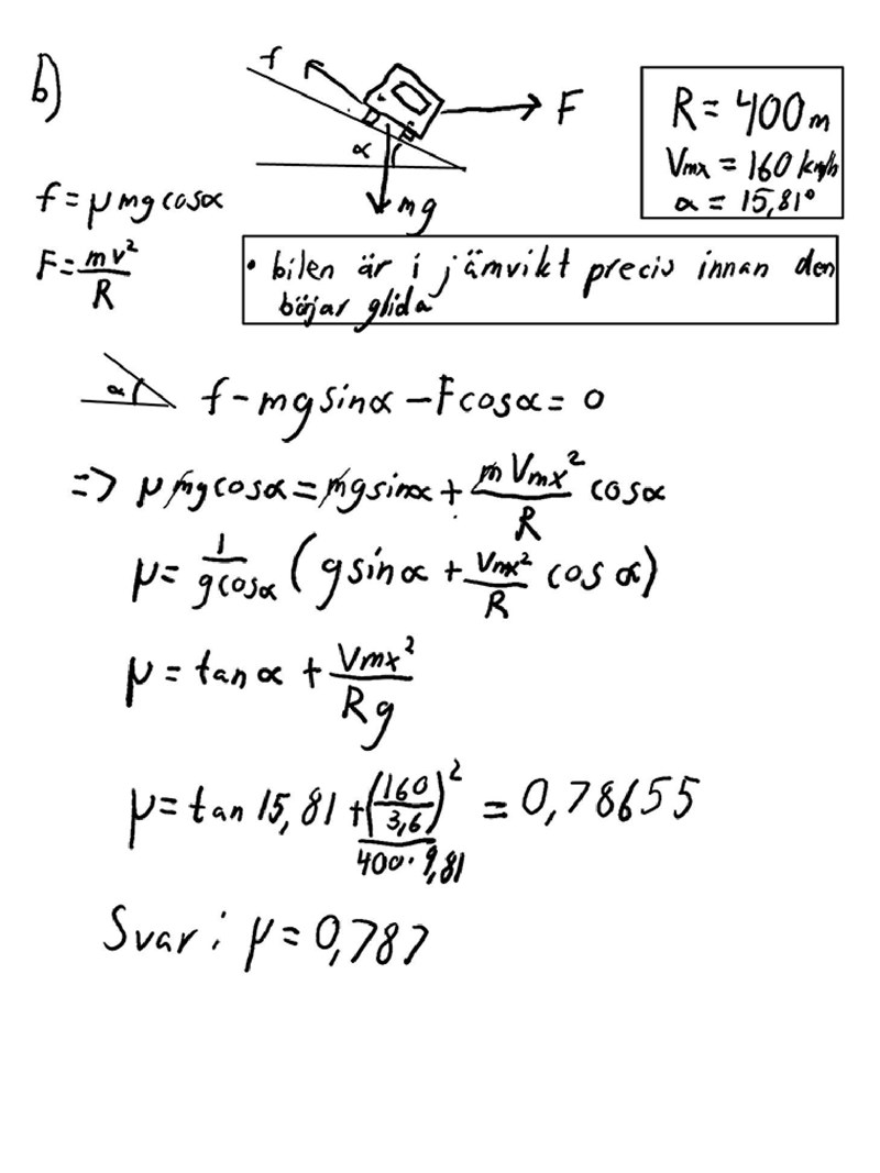
En bil kör på en tävlingsbana med konstant hastighet i en lutande kurva med en radien på R. Lutningen på kurvan är dimensionerad så att när hastigheten är V0 så verkar inga friktionskrafter i x-led.
Om bilen istället kör igenom kurvan med hastigheten Vmx ligger den på gränsen att börja glida uppför lutningen (positiv x-led). Bilen kan, för enkelhets skull, betraktas som en partikel.
Bestäm:
- statiska friktionstalet.
Ledning: Problemet består av två olika rörelsetyper samtidigt.

Svar 1: 
Svar 2: 
Kan du inte beskriva skillnaden i ord?
Och redan där kan det klarna för dig.