2
svar
56
visningar
offan123 behöver inte mer hjälp
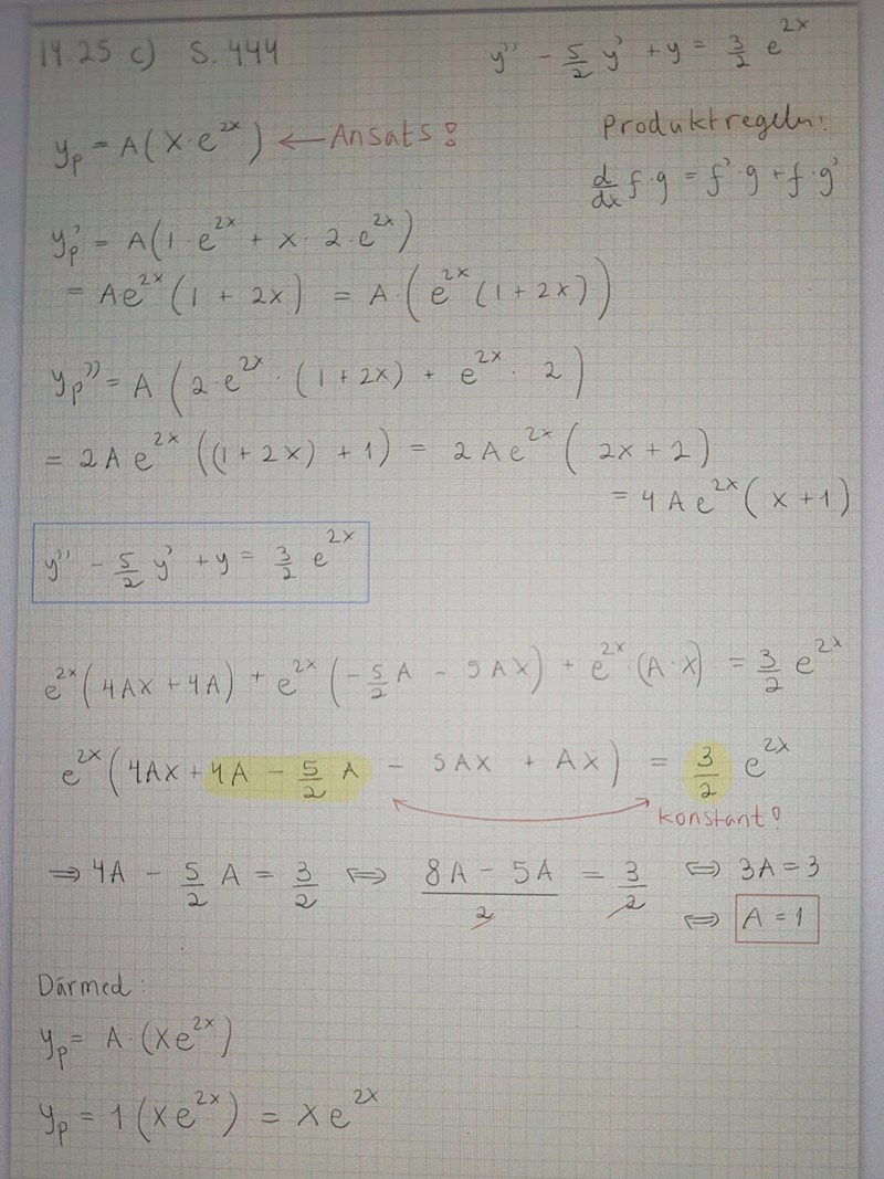
Partikulärlösning

Jag har en liten fundering gällande det som är gult. Jag har ju brutit ut e^2x så då borde det som är i parentesen i VL vara lika med 3/2 i HL. Men nu så är 3/2 en konstant och då borde jag även bara ta ut konstanterna från parentesen i VL?
Ja, och samtidigt ska x-termerna försvinna.
Tack, trodde det hade blivit fel på vägen!