Partikulärlösningen, andra ordning.

Hej!
Den homogena lösningen till den här ekvationen är C^-x (c1* x +c2).
När jag löser den här uppgiften så antar jag den partikulära lösningen är A cos (x)+ B sin (x), men i facit antar de att den partikulära lösningen är A sin (x)+ B cos (x).
Därför får vi helt olika värden på c1 och c2. Min fråga är :
Vem har rätt ?
Ni borde få samma svar, ni har gjort samma ansats, även om ni gett era konstanter olika namn ska resultatet bli detsamma.
Visa hur du gjort så kan vi se om det blivit fel någonstans
Ture skrev:Ni borde få samma svar, ni har gjort samma ansats, även om ni gett era konstanter olika namn ska resultatet bli detsamma.
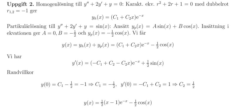
Här ser du min och facits lösningen. Jag kan inte se felet i min beräkning


Du har fått fram att A = - 1/2 och B =0,
titta på din ansats, Aär faktorn före cos, du har fått samma yp som facit.
Ture skrev:Du har fått fram att A = - 1/2 och B =0,
titta på din ansats, Aär faktorn före cos, du har fått samma yp som facit.

Jag förstår att jag hade fel i insättningen av A. . . ., men det blir ändå fel sen när man räknar fram C och b eller C1 och C2 (som facit).
Jag får att båda konstantera är -1/2.
Kan du se något jag missade där?
När du deriverar din lösning blir det fel

det ska inte vara ngt minustecken framför C*e-x
Ture skrev:När du deriverar din lösning blir det fel
det ska inte vara ngt minustecken framför C*e-x
borde man inte ha minustecknet när man deriverar e^-x?
om
när du deriverar termen
ska du använda produktregeln och får då
Ture skrev:om
när du deriverar termen
ska du använda produktregeln och får då
Så det blir fel att anväda kedjeregeln här. Jag antog att f(x) = e^-x och g(x)= cx+b och löst det med kedjeregeln
ja det blir fel, det är ingen sammansatt funktion utan produkten av två funktioner
Ture skrev:ja det blir fel, det är ingen sammansatt funktion utan produkten av två funktioner
Tack så mycket för hjälpen
