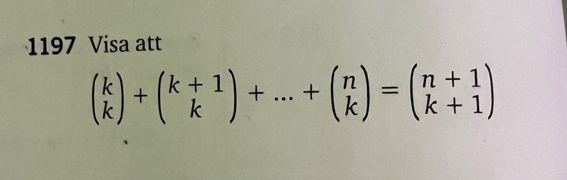
Matematik / Matte 5 / Kombinatorik 1 svar 139 visningar jalsho behöver inte mer hjälp Avmarkera jalsho 317 Postad: 12 okt 2024 17:31 Pascals formel Hej Jag har fastnat helt på denna fråga Trinity2 Online 3710 Postad: 12 okt 2024 23:48 Användare skriver Svara Du behöver Logga in eller Bli medlem först! Avbryt