passiv tvåpol, impedans
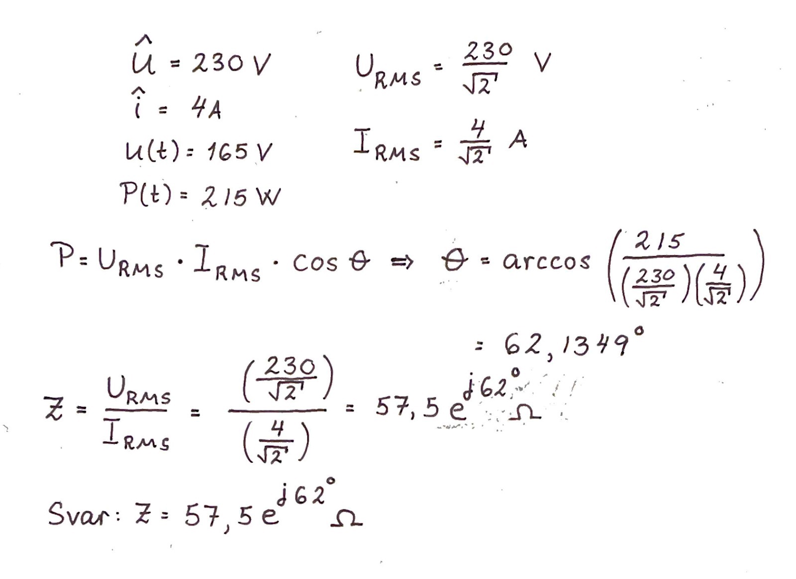
Hej, jag är väldigt osäker kring min lösning här då jag tycker att den verkar för "simpel", jag har heller inte använt mig av det faktum att momentanvärdet av spänningen vid någon tid t är 165V, vilket får mig att tro att jag missat något viktigt för att lösa uppgiften.

Mitt försök hittills:

Linnzan skrev:Hej, jag är väldigt osäker kring min lösning här då jag tycker att den verkar för "simpel", jag har heller inte använt mig av det faktum att momentanvärdet av spänningen vid någon tid t är 165V, vilket får mig att tro att jag missat något viktigt för att lösa uppgiften.
Dessutom är 215 watt också ett momentanvärde. Medelvärdet är inte givet, du kan inte använda den formeln.
Pieter Kuiper skrev:Linnzan skrev:Hej, jag är väldigt osäker kring min lösning här då jag tycker att den verkar för "simpel", jag har heller inte använt mig av det faktum att momentanvärdet av spänningen vid någon tid t är 165V, vilket får mig att tro att jag missat något viktigt för att lösa uppgiften.
Dessutom är 215 watt också ett momentanvärde. Medelvärdet är inte givet, du kan inte använda den formeln.
Okej, då vet jag i alla fall att jag gjort fel! Tackar :)
Pieter Kuiper skrev:Linnzan skrev:Hej, jag är väldigt osäker kring min lösning här då jag tycker att den verkar för "simpel", jag har heller inte använt mig av det faktum att momentanvärdet av spänningen vid någon tid t är 165V, vilket får mig att tro att jag missat något viktigt för att lösa uppgiften.
Dessutom är 215 watt också ett momentanvärde. Medelvärdet är inte givet, du kan inte använda den formeln.
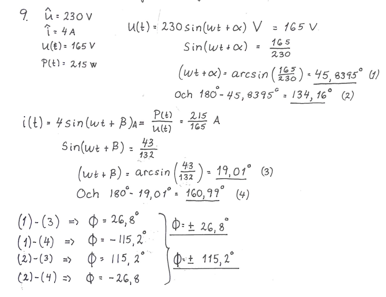
Nu tror jag att jag lärt mig hur man tar fram fasförskjutningen, men.. hur bestämmer jag beloppet av tvåpolens impedans? Tips?

Linnzan skrev:Pieter Kuiper skrev:Linnzan skrev:Hej, jag är väldigt osäker kring min lösning här då jag tycker att den verkar för "simpel", jag har heller inte använt mig av det faktum att momentanvärdet av spänningen vid någon tid t är 165V, vilket får mig att tro att jag missat något viktigt för att lösa uppgiften.
Dessutom är 215 watt också ett momentanvärde. Medelvärdet är inte givet, du kan inte använda den formeln.
Nu tror jag att jag lärt mig hur man tar fram fasförskjutningen, men.. hur bestämmer jag beloppet av tvåpolens impedans? Tips?
Beräknar jag tvåpolens impedans genom att helt enkelt ta Z=
