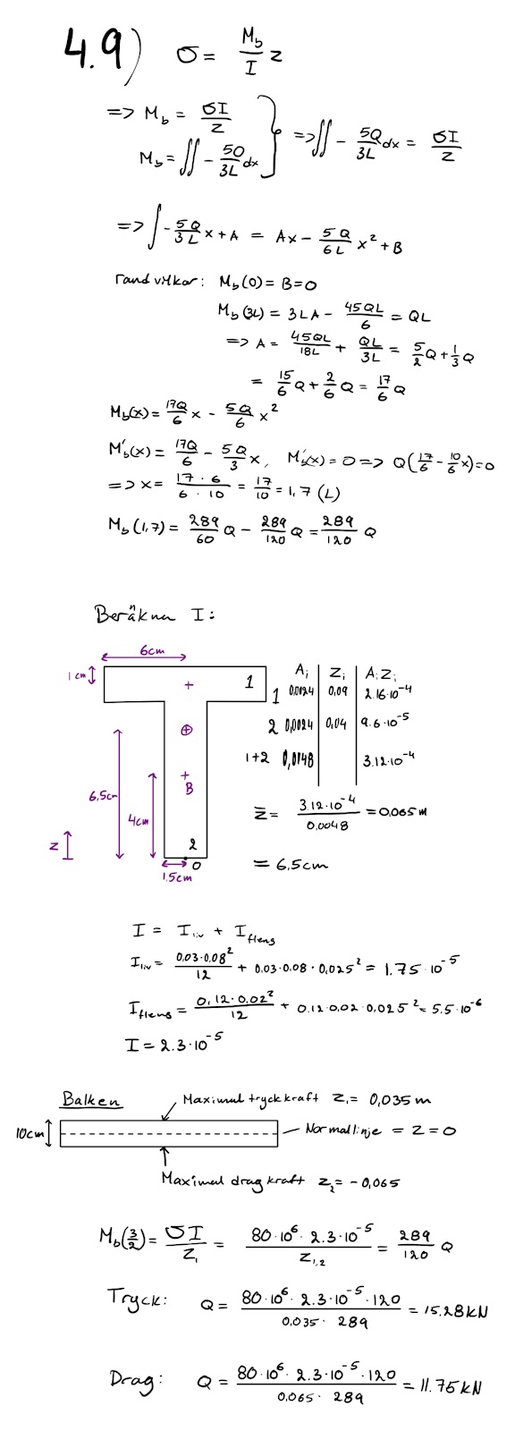
Påverkan av yttre kraft Q


Jag lyckas inte få denna uppgiften att fungera. Jag gjort om den utbredda kraften Q till ett utbrett moment och använt randvillkor 0 för vänstra stödet och Q*L för det andra. Behöver jag ta hänsyn till punktlasten Q även i mina sista beräkningar maximalt moment, tänker mig att punktlasten kommer deformera balken den också, men är det inte vad jag har tagit hänsyn till då jag bestämt att det maximala böjmomentet sker vid x = 1.7m från vänster?
Svaret ska bli Q<= 5.37kN
Tack på förhand!
Fysiskt skrev:då jag bestämt att det maximala böjmomentet sker vid x = 1.7m från vänster?
Jag kan inte hålf.
Men det verkar som du räknar tryckgränsen och draggränsen på samma sätt.
Men det blir väl olika punkter där balken går sönder? Vid drag på översidan, vid tryck på undersidan. Och kanske inte heller vid samma punkt på längden.