2
svar
153
visningar
Pde
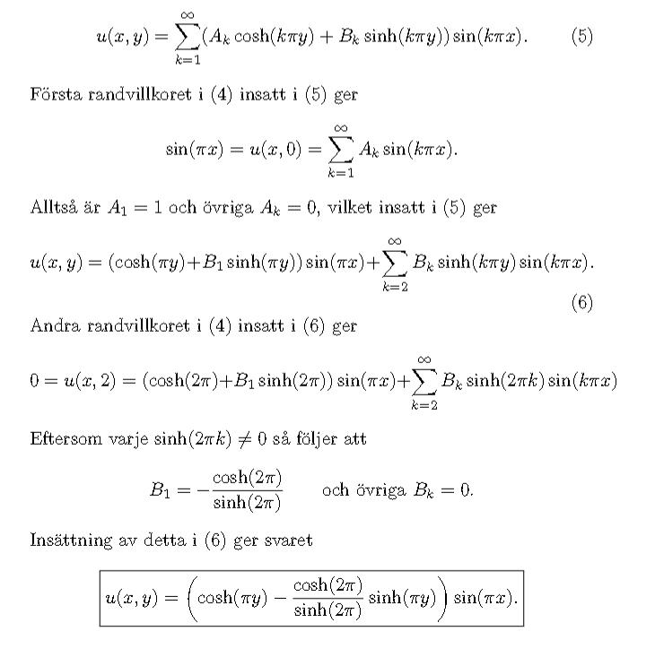
Hej! Jag håller på att lösa ett svängningsproblem. Tyvärr har jag fastnat och ser inte riktigt vad som sker.
Jag är med på allt tills argumentet "Eftersom varje sinh(2*pi*k) ej lika med noll så följer att:"
Min fråga är väl egentligen, hur kommer det sig att serien är noll. Är det för att man på något sätt motiverar att B_K = 0 för alla k förutom k=1 pga ortogonalitet?

Bump :)
Frågar är alltså: Hur motiverar vi att serien = 0?
Vilken intressant fråga! Hoppas någon kunnig pluggakutare hjälper dig!