1
svar
94
visningar
teknikomatte behöver inte mer hjälp
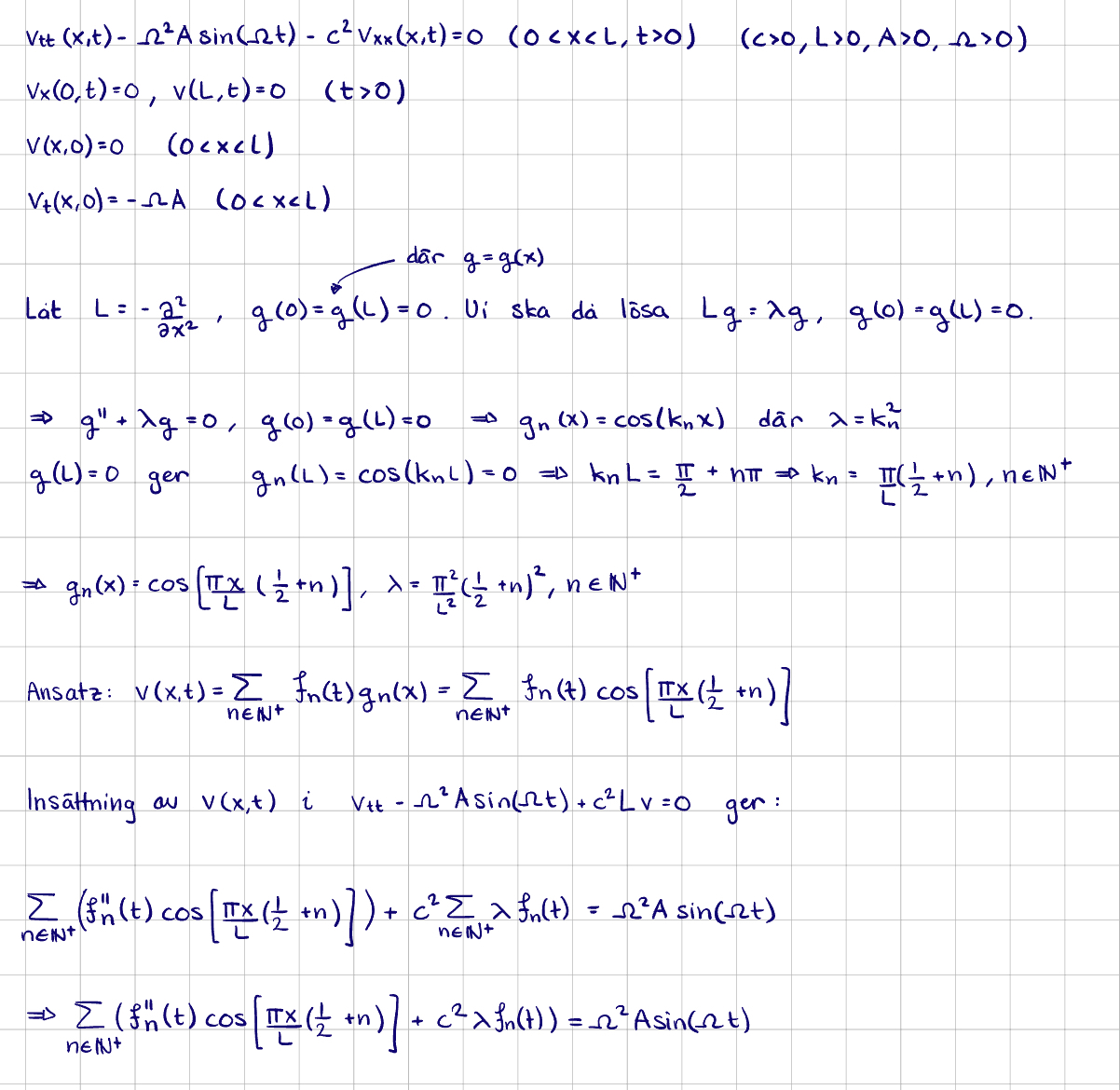
PDE med inhomogenitet
Tja! Hur går jag vidare för att ta fram v(x,t)? PDE med BV och RV längst upp, min lösning hittills är under. Vet inte riktigt vad jag ska göra med HL på sista raden.

Jag antar att man ska serieutveckla HL, men hur gör man det?