PDE -värmeledningsekvation problem

https://youtu.be/VBn1diQCykQ?si=Edc4SEx2AiPSOFoD
Hej!
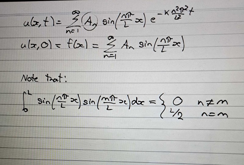
I klippet ovan så pratar han om ortogonalitet när han ville lösa ut konstanten Ansom jag absolut inte känner igen och det nämns efter "note that". Jag använder denna kursbok nedan för difftransen men hittar ingenting i teori som stödjer detta. Ibland sätter man An=1 , varför gör man inte detta här?
Allan Pinkus, Samy Zafrany - Fourier Series and Integral Transforms.pdf
Theorem 2.1 på sid 33 säger att de trigonometriska funktionerna (med grundperioden 2pi) bildar ett ortogonal system för 2pi-periodiska funktioner. På sidor 34–35 hittar du härledning som visar att An kan hittas m.h.a. projektionsformeln.
Har man en annan period (vilket verkar vara fallet i videon), så hittar man ett motsvarande påstående i avsnittet 2.10 på sid 81-82.
Man kan inte bara välja An=1 eftersom man ska se till att sinusserien är lika med den givna funktionen f(x) (d.v.s. begynnelsevillkoret)
LuMa07 skrev:Theorem 2.1 på sid 33 säger att de trigonometriska funktionerna (med grundperioden 2pi) bildar ett ortogonal system för 2pi-periodiska funktioner. På sidor 34–35 hittar du härledning som visar att An kan hittas m.h.a. projektionsformeln.
Har man en annan period (vilket verkar vara fallet i videon), så hittar man ett motsvarande påstående i avsnittet 2.10 på sid 81-82.
Man kan inte bara välja An=1 eftersom man ska se till att sinusserien är lika med den givna funktionen f(x) (d.v.s. begynnelsevillkoret)
Just 34-35 är det ju då n inte är lika med m. Men jag hittar inte det här med L/2? Från ingenstans integrerar han från 0 till L istället för-L till L som boken gör.
Sid 81--83 behandlar intervall [a, b] med godtyckliga a och b, vilket i synnerhet täcker fallet [0, L]