3
svar
98
visningar
Njae, det är jag skeptisk till, men har inte ställt upp ekvationen.
Visa gärna hur du har du gjort.
sictransit skrev:Njae, det är jag skeptisk till, men har inte ställt upp ekvationen.
Visa gärna hur du har du gjort.
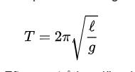
Jag har inte fått några rimliga siffror på mina beräkningar, därför är jag lite osäker. Men om g= g/6 eftersom g*1/6 , så tänker jag att 6an åker upp och sen roten ur den och vanliga g blir kvar.
Men jag har ändrat mig, det är nog b)
om man tar
=
gmåne=g/6
Jomen precis!
Vi sätter l=1 och skippar 2 pi:
Jag fick det till alternativ d) 