Penicillin bryter vilka bindningar?
Penicillin binder ju in till det enzym som vanligtvis bygger upp cellväggen hos bakterier och på så sätt kan inte cellväggen bildas vilket gör att bakterien dör. Som jag har förstått det så är cellväggen uppbyggd utav N-acetylglukosamin (NAG) och N-acetylmuraminsyra (NAM). NAG och NAM molekylerna är bundna till varandra med kovalenta bindningar. Mellan de olika NAM molekylerna finns också peptidkedjor som tvärbinder till varandra. Nu till frågan, vilken bindning är det som penicillinet bryter- bindningarna mellan NAM och NAG eller bindningarna mellan NAM-molekylerna?
I min lärobok står det nämligen båda alternativen på olika sidor. Har letat på nätet men hittar ingenting. Det står att lysozym kan bryta bindningarna mellan NAM och NAG vilket ju kanske borde betyda att penicillin bryter bindningarna mellan NAM, annars fungerar ju tårar och penicillin exakt likadant?
Penicillin bryter inga bindningar alls.
I bakterierna finns det en uppsjö med enzymer som ansvarar för att bilda och binda ihop peptidoglykaner (som består av bl.a. NAG och NAG) och på så vis bilda cellväggen. Penicillinet binder till den aktiva ytan av några av dessa enzymer, och då bindningen mellan penicillin och enzymet är kovalent kan den inte brytas - så då sitter penicillinet där och den enzymmolekylen kan inte bilda några peptidoglykaner/bindningar. På t.ex. wikipedia står det mer om detta, både om penicillin och peptidoglykaner.
mag1 skrev:Penicillin bryter inga bindningar alls.
I bakterierna finns det en uppsjö med enzymer som ansvarar för att bilda och binda ihop peptidoglykaner (som består av bl.a. NAG och NAG) och på så vis bilda cellväggen. Penicillinet binder till den aktiva ytan av några av dessa enzymer, och då bindningen mellan penicillin och enzymet är kovalent kan den inte brytas - så då sitter penicillinet där och den enzymmolekylen kan inte bilda några peptidoglykaner/bindningar. På t.ex. wikipedia står det mer om detta, både om penicillin och peptidoglykaner.
Oj, jag uttryckte mig lite klumpigt, jag menar vilken typ av bindning som enzymet (som binder till penicillin) bygger upp. Eller jag förstår inte, är det enzymet/enzymer som bildar peptidkedjorna mellan NAM-molekylerna som penicillin binder till, eller enzymet/enzymer som binder ihop NAM-och NAG-molekylerna med varandra? Liksom, vilken typ av bindningar är det som enzymet som stoppas av penicillin bygger?

Här är en bild på vad jag menar. Är det aminosyrabindningarna (tetrapeptide chain) som enzymet bygger, eller bindningarna mellan NAM och NAG?
sund20 skrev:mag1 skrev:Penicillin bryter inga bindningar alls.
I bakterierna finns det en uppsjö med enzymer som ansvarar för att bilda och binda ihop peptidoglykaner (som består av bl.a. NAG och NAG) och på så vis bilda cellväggen. Penicillinet binder till den aktiva ytan av några av dessa enzymer, och då bindningen mellan penicillin och enzymet är kovalent kan den inte brytas - så då sitter penicillinet där och den enzymmolekylen kan inte bilda några peptidoglykaner/bindningar. På t.ex. wikipedia står det mer om detta, både om penicillin och peptidoglykaner.
Oj, jag uttryckte mig lite klumpigt, jag menar vilken typ av bindning som enzymet (som binder till penicillin) bygger upp. Eller jag förstår inte, är det enzymet/enzymer som bildar peptidkedjorna mellan NAM-molekylerna som penicillin binder till, eller enzymet/enzymer som binder ihop NAM-och NAG-molekylerna med varandra? Liksom, vilken typ av bindningar är det som enzymet som stoppas av penicillin bygger?
Här är en bild på vad jag menar. Är det aminosyrabindningarna (tetrapeptide chain) som enzymet bygger, eller bindningarna mellan NAM och NAG?
Läste på Wikipedia att bindningarna mellan NAM och NAG är en glykosidbindning. Det står också att cross-linkingen sker av transpeptidase, och att det är denna som penicillin stoppar, så då får man kanske utgå ifrån att det är syftningsfel i min bok när de skriver att penicillin inhiberar enzymet som skapar bindningar mellan NAM och NAG, eftersom det snarare verkar vara cross-linkingen som inhiberas.
Vad är då skillnaden mellan olika penicilliner? Är skillnaden vilket enzym de stoppar, men gemensamt är att de stoppar ett enzym som används vid uppbyggnaden av peptidkedjorna som cross-linkar (och att det sker med deras beta-laktam ringar, precis som alla beta-laktam-antibiotika)? För ampicillin specifikt stoppar transpeptidase, men när jag googlar generellt på penicillin står det även här att de stoppar transpeptidase, men alla penicilliner kan ju inte stoppa transpeptidaset?
Ja inom peptidoglykankedjan (de stora bollarna eller "sugar backbone" i din bild) är det glykosidbindningar mellan kolhydratenheterna NAM och NAG. På NAM är även en kort polypeptid bunden, och det är dessa polypeptider från olika peptidoglykankedjor som transpeptidas korslänkar.
Den klassiska beskrivningen är att penicillin binder till "penicillin bindande proteiner", bl. a. transpeptidaser. Transpeptidaserna finns i flera olika typer i varje cell (men det är DD-transpeptidaset som inhiberas av penicillin).
Antibiotika finns det massor av olika typer av, och dessa typer verkar på olika sätt (förhindrar bildande av mer cellvägg, stoppar proteinsytensen, stoppar DNA-replikationen o.s.v.). På vårdcentralen brukar penicillin användas lite slarvigt för att beskriva antibiotika, trots att det endast är en enda typ av antibiotika, troligtvis för att penicillin är välkänt så patienten direkt förstår vad det rör sig om.
Den gruppen antibiotika som penicillin tillhör kallas beta-laktamer (just därför att de har en beta-laktam ring i sig, fyrkanten i bilden nedan till höger), och alla antibiotika som har denna beta-laktamring fungerar på samma sätt. Transpeptidaset binder, precis som i fallet med D-Ala-D-Ala (till vänster), kovalent till ämnet . Men beta-laktamringen bryts och i och med detta kan enzymet inte klyva den kovalenta bindningen, så det är permanent inaktiverat. A och B nedan är ganska lika, men beta-laktamen gör att de beter sig kemiskt väldigt olika i enzymet, därför kan inte enzymet återställa sig utan bryts ner. Man burkar likna det med att enzymet efter bindningen till penicillin, omvandlas till ett penicillinbindande protein istället för ett enzym.

mag1 skrev:Ja inom peptidoglykankedjan (de stora bollarna eller "sugar backbone" i din bild) är det glykosidbindningar mellan kolhydratenheterna NAM och NAG. På NAM är även en kort polypeptid bunden, och det är dessa polypeptider från olika peptidoglykankedjor som transpeptidas korslänkar.
Den klassiska beskrivningen är att penicillin binder till "penicillin bindande proteiner", bl. a. transpeptidaser. Transpeptidaserna finns i flera olika typer i varje cell (men det är DD-transpeptidaset som inhiberas av penicillin).
Antibiotika finns det massor av olika typer av, och dessa typer verkar på olika sätt (förhindrar bildande av mer cellvägg, stoppar proteinsytensen, stoppar DNA-replikationen o.s.v.). På vårdcentralen brukar penicillin användas lite slarvigt för att beskriva antibiotika, trots att det endast är en enda typ av antibiotika, troligtvis för att penicillin är välkänt så patienten direkt förstår vad det rör sig om.
Den gruppen antibiotika som penicillin tillhör kallas beta-laktamer (just därför att de har en beta-laktam ring i sig, fyrkanten i bilden nedan till höger), och alla antibiotika som har denna beta-laktamring fungerar på samma sätt. Transpeptidaset binder, precis som i fallet med D-Ala-D-Ala (till vänster), kovalent till ämnet . Men beta-laktamringen bryts och i och med detta kan enzymet inte klyva den kovalenta bindningen, så det är permanent inaktiverat. A och B nedan är ganska lika, men beta-laktamen gör att de beter sig kemiskt väldigt olika i enzymet, därför kan inte enzymet återställa sig utan bryts ner. Man burkar likna det med att enzymet efter bindningen till penicillin, omvandlas till ett penicillinbindande protein istället för ett enzym.
Tack så mycket för förklaringen! Att dessa betalaktamer fungerar på samma sätt, innefattar det också att de binder till samma enzym (transpeptidas)? Eller är transpeptidas flera olika enzymer? Du skrev ju att penicillin inhiberar DD-transpeptidas, så jag undrar om alla penicilliner gör detta (Ampicillin, Penicillin V m.fl)? Tänker att det borde väl vara någon skillnad mellan dessa, eftersom det kan uppstå resistens mot en eller flera av dem, men andra kan fortfarande fungera. T.ex. pGLO ger ju resistens mot ampicillin, så varför ger det just resistens till enbart ampicillin?
Det är fram för allt DD-transpeptidaset som de binder till, penicillinets liknar Ala-Ala petidoglykanen (som förkortas som DD, efter kortformen för aminosyran alanin=D). Enzymet känner helt enkelt igen både substratet Ala-Ala änden på peptiodglykanen och penicillin och beta-laktamen är precis där enzymet bildar en bindning. Och ofta påverkas DD-transpeptidaset av många olika typer av penicilliner, de delar ju alla beta-laktamringen. Bilden nedan visar några typer av antibiotika med beta-laktamaner (röd) där resten skiljer sig en del (blå/svart).

Det finns fler olika sorters transpeptidaser i naturen, det är en grupp av enzymer som kopplar ihop aminosyror med varandra. Även DD-transpeptidasen skiljer sig lite mellan de olika arter som har detta typ av enzym, men de verkar på samma substrat så de påverkas av penicillinerna.
Resistensutvecklingen mot antibiotika, bl. a. penicillin kan ske på flera olika sätt, t.ex. genom att de får en plasmid från en annan bakterie, där plasmiden har en gen som kodar för ett resistensgivande protein. T.ex. ett protein som binder penicillin, så att några eller alla DD-transpeptidasmolekyler inte inaktiveras, och bakterien överlever. Eller ett enzym som bryter ner beta-laktamer utan att inaktiveras, detta enzym rensar då bort penicillinet så att DD-transpeptidaset klarar sig och bakterien överlever med sin plasmid.
Dessa proteiner som ger resistensen behöver kunna binda till den typen av penicillin som används, och då de olika penicillinvarianterna skiljer sig lite, är det inte ovanligt att det resistens-proteinet som bakterien har känner igen ett ämne men inte ett liknande. Och då kan det liknande användas, tills dess att bakterien "lär" sig att rensa bort det liknande ämnet. Då får en annan typ av antibiotika användas, och bakterien försöker klara sig undan även denna ny typ.
Denna typ av urval som sker med antibiotika är ett väldigt starkt urval, oftast det starkaste urvalet som en blandning bakterier kan uppleva. Endast den bakterie som blir resistent överlever, alla andra som påverkas av antibiotikan dör.
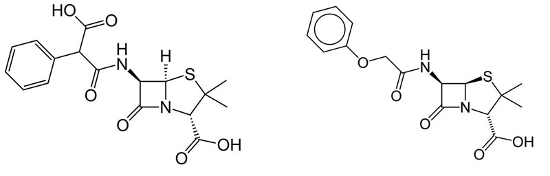
pGLO ger resistens mot penicillin, men även mot karbenicillin (nedan vänster) och troligtvis (vet inte säkert) mot penicillin V (nedan höger). De är alla penicilliner och skiljer sig endast en del i den högra delen av molekylen.
