2
svar
117
visningar
Ställa865 behöver inte mer hjälp
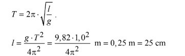
Period inom kurva
Inom a) varför har man tagit perioden som 1 och inte 0,5. Ska man alltid ta perioden som ligger i mitten, då jag har räknat en tidigare uppgift som dem även tog perioden som var i mitten av kurvan och inte början av kurvan.


anonym972 skrev:Inom a) varför har man tagit perioden som 1 och inte 0,5.
Med lite gissning från min sida: uppgiften verkar visa en graf av belastning som funktion av tid. För en pendel är den stor två gånger per period: när den är längst ner den rör sig åt ena hållet och när den rör sig åt andra hållet.
ok tack:)