pH-beräkning
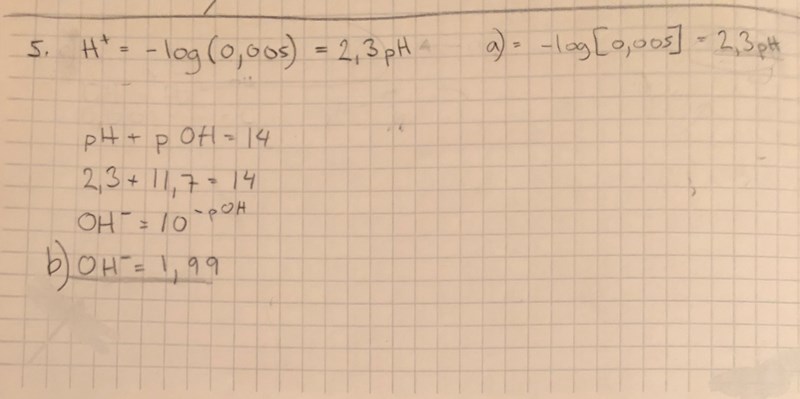
a) Beräkna [H+] och [OH-] i saltpetersyra HNO3 med koncentrationen 0,005 mol/dm3.
b) Vilket pH har lösningen?
Hur har du tänkt själv? Det står i Pluggakuens regler att du skall visa hur du har försökt och hur långt du har kommmit. /moderator
Tips: Saltetersyra är en stark syra, det betyder att den är protolyserad till 100 %.
Jag tänkte -log(0,005) vilket blir 2,3 i pH
Ja, och då har du ju beräknat på vägen. Vad är ?
Jag har ingen aning :( Det jag vet är att OH- är basiskt och att man ska använda n=c*V
Läs det jag skrev i mitt första inlägg. Vet du oxoniumjonkoncentrationen, så kan du beräkna hydroxidjonkoncentrationen.
En vattenlösning är basisk om koncentrationen av hydroxidjoner är större än koncentrationen av oxoniumjoner, sur om det är tvärtom och neutral om koncentrationerna är lika.
pH 2,3
pOH: 14-2,3
är det så?
Ja, fast det var inte pOH man frågar efter.
Nu blev jag jätte förvirrad. pOH=11.7?
10^-11,7 = 1.99*10^-12. OH är alltså 1.99?
Läs igenom frågan. Du har svarat på b-frågan och halva a-frågan. Vad frågar men mer efter i a-uppgiften?
EDIT: Läs, inte lös.
Läs frågan igen - du har fortfarande inte svarat på , som man frågar efter (däremot har du svarat på en hel del som man inte undrar).
Jag förstår inte frågan tror jag.
Det står i uppgiften att du skall beräkna och . Du har beräknat till och vet att . Vad är ?
