Plan tangerar sfär
Visa att planet x+y+z-5=0 tangerar sfären x^2-2x+y^2-4y+z^2+2z+3=0
Kan någon förklara på ngt annat sätt än tipset i boken? År sen jag läste linjär algebra nu och har svårigheter med text pga funktionshinder 🤦♀️


Svaret är (2,3,0)
Detta lösningsförslag känns inte hundra procent relevant för frågan, men men.
Börja med att rita upp en bild över situationen! :)
Om vi kan ta oss till formen vet vi vilken cirkel vi har att göra med. Detta gör vi med hjälp av kvadratkomplettering, som du har gjort. I en sfär är alla punkter lika långt från mittpunkten. Om vi letar efter ett plan som tangerar sfären, måste vi alltså leta efter en punkt i planet där avståndet från planet till sfärens mittpunkt är precis lika med sfärens radie.
Eftersom vi vill att planet ska tangera cirkeln, kan vi ha nytta av planets normalvektor, som är (1,1,1). Om du går från någon punkt i planet till mittpunkten i cirkeln, hur ser den vektorn ut?
Bilda den räta linje som går genom mittpunkten (1,2-1) på sfären och som har planets normalvektor (1,1,1) som riktningsvektor. Skriv linjens ekvation på parameterform. Vilket värde har parametern när linjen skär planet? Vilken punkt motsvarar detta i planet? Hur långt är avståndet från denna punkt i planet till mittpunkten av sfären?

Tangeringspunkt .
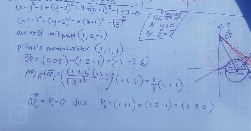
Punkt i planet t ex P:(0,0,5) vi vet att . Projicera på normalen.
, där är normerad normalvektor.
Kan du avrunda detta själv?
Tack för alla era svar!!! Jag har försökt projicera på normalen till planet, men vet varken om jag gjort rätt eller hur jag ska tänka vidare. Svaret ska ju bli (2 3 0)

Ett litet fel när du beräknar . Du ska normera n. Du verkar ha normerat
.
Betrakta följande principiella figur:

Är vi någorlunda överens?
dr_lund skrev:Ett litet fel när du beräknar . Du ska normera n. Du verkar ha normerat
.
Oj då!
Nu får jag rätt svar, men har jag verkligen tänkt/gjort rätt också?

Jo, men jag ser helst att du inte blandar punkter och vektorer. Se mitt senaste svar.
Jag har lagt till en figur som illustrerar läget.
F ö är ditt tänk OK!
dr_lund skrev:Ett litet fel när du beräknar . Du ska normera n. Du verkar ha normerat
.
Betrakta följande principiella figur:
Är vi någorlunda överens?
Tack för illustrationen!!! Nu blev det genast mycket enklare att fatta!!!! 🙏