0
svar
200
visningar
teknikomatte behöver inte mer hjälp
plotta energi vågekvation
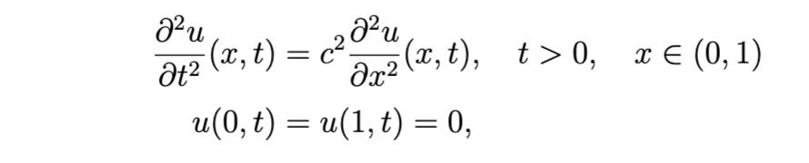
Hej, jag har följande vågekvation


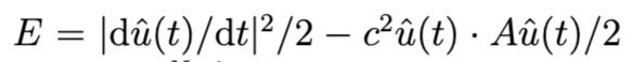
Energin är konstant för alla tider och fås av:
![]()
Jag vill nu plotta denna Energi som en funktion av tiden men har ingen aning om hur jag ska göra, skulle uppskatta hjälp.