Poissonfördelning
Hej, har problem med en uppgift.

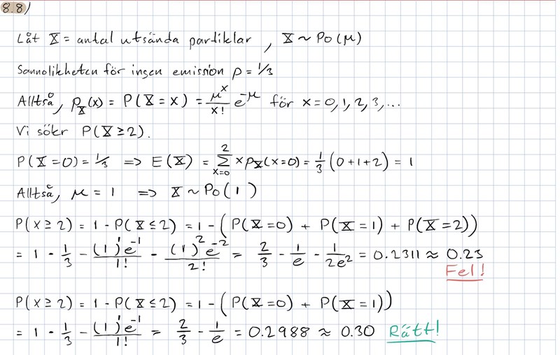
Facit säger:

Har inte direkt kommit längre än så. Förstår inte riktigt hur ln3 kommer in i svaret. Jag vill använda tabell, men ser inte ut som att man ska göra det.
Tacksam för hjälp :)
Du vet från uppgiften att P(X=0)=1/3. Därmed kan du bestämma my.
Därefter beräknar du 1-P(X=0)-P(X=1)=2/3-P(X=1)
Calle_K skrev:Du vet från uppgiften att P(X=0)=1/3. Därmed kan du bestämma my.
Därefter beräknar du 1-P(X=0)-P(X=1)=2/3-P(X=1)
Hej tack för svar. Får inte riktigt rätt, får 0.39. Samt inget ln3 som i facit :/

Såg att jag använde en sats för att räkna ut my som jag inte fick använda då p inte är mindre än 0.1.
Fick rätt tillslut. Men förstår inte varför P(X=2) inte ska vara med.

P(X>=2) = 1 - P(X<2).
Notera den strikta olikheten i HL. Du har missat den.
Calle_K skrev:P(X>=2) = 1 - P(X<2).
Notera den strikta olikheten i HL. Du har missat den.
Jaha juste. Känner att jag har lite problem med olikheten vid sannolikhet.
Om man har strikt olikhet och använder komplement, tappar man alltid strikt olikhet då(och vice versa)?
För diskreta fördelningar, ja.
Detta eftersom att P(X<=2) = P(X=0)+P(X=1)+P(X=2) medan P(X<2) = P(X=0) + P(X=1). Här antar vi icke-negativ stokastisk variabel.
För kontinuerliga fördelningar spelar det ingen roll om vi använder strikt olikhet eller inte. Detta är på grund av egenskapen hos integraler att integralens värde förblir detsamma om vi integrerar över en sluten mängd eller motsvarande öppen mängd, dvs utesluter randvärdena.
Calle_K skrev:För diskreta fördelningar, ja.
Detta eftersom att P(X<=2) = P(X=0)+P(X=1)+P(X=2) medan P(X<2) = P(X=0) + P(X=1). Här antar vi icke-negativ stokastisk variabel.För kontinuerliga fördelningar spelar det ingen roll om vi använder strikt olikhet eller inte. Detta är på grund av egenskapen hos integraler att integralens värde förblir detsamma om vi integrerar över en sluten mängd eller motsvarande öppen mängd, dvs utesluter randvärdena.
Okej, då förstår jag. Tack så mycket för dina svar och din tid :)