Är detta verkligen fysik, eller är det matte?
Hur har du försökt själv? Det står i Pluggakutens regler att du skall visa hur du har försökt. /moderator
Smaragdalena skrev:Är detta verkligen fysik, eller är det matte?
Hur har du försökt själv? Det står i Pluggakutens regler att du skall visa hur du har försökt. /moderator
calculus91 skrev:
någon ?
Du har nog större chans att få hjälp om du ser till att det går att läsa det du skiver utan att man behöver scrolla. Tips: skriv inte allt i formeleditorn, utan bara formlerna.
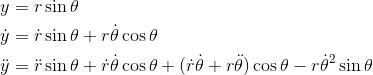
I en tidigare uppgift visade jag hur du kan använda vektoralgebra för att sätta hastigheten och accelerationen parallell med . Ett snarlikt resonemang är följande.
Hastigheten y-led måste, liksom accelerationen, vara 0 eftersom bilen accelererar längs vägen, se uppgiftens bild.

Sätt och lös ut , sätt och lös ut . Sedan använder du uttrycket för accelerationen i polära koordinater för att hitta absolutbeloppet.
Guggle skrev:I en tidigare uppgift visade jag hur du kan använda vektoralgebra för att sätta hastigheten och accelerationen parallell med . Ett snarlikt resonemang är följande.
Hastigheten y-led måste, liksom accelerationen, vara 0 eftersom bilen accelererar längs vägen, se uppgiftens bild.
Sätt och lös ut , sätt och lös ut . Sedan använder du uttrycket för accelerationen i polära koordinater för att hitta absolutbeloppet.
jag får svaret till 10,6026828 stämmer det ?
jag får svaret till 10,6026828 stämmer det ?
Visa HUR du har räknat, inte bara vilket svar du har kommit fram till, annars är det omöjligt att se om du har räknat rätt eller inte. Vi som svarar här är bra på fysik, men usla på tankeläsning. /moderator
Smaragdalena skrev:jag får svaret till 10,6026828 stämmer det ?
Visa HUR du har räknat, inte bara vilket svar du har kommit fram till, annars är det omöjligt att se om du har räknat rätt eller inte. Vi som svarar här är bra på fysik, men usla på tankeläsning. /moderator
Jag gör som Guggle visade, att jag löser uoch räknar ut beloppen av de
Ta det steg för steg och visa vilka uttryck du får fram - det är uttrycken som är intressanta, inte siffrorna.
En normal bil når i bästa fall en acceleration mellan 3-4 m/s². Ditt svar bör alltså hamna i denna storleksordning.
Dessutom har vi bara .
Ditt svar 11 m/s² är bättre än de snabbaste bilarna i världen och dessutom större än gravitationen g, vilket betyder att man behöver något mer än friktion mellan däck och vägbana (kanske jetmotor?). Det är därför sannolikt att du räknat fel.
Som Smaragdalena påpekar är det helt omöjligt att veta exakt var du räknat fel om du inte visar dina räkningar.
Jag skulle tippa på att du fått ett teckenfel ( borde peka åt andra hållet) och använt fel formel, , jmfr med vad du angav ovan.
Guggle skrev:I en tidigare uppgift visade jag hur du kan använda vektoralgebra för att sätta hastigheten och accelerationen parallell med .
Kanske ska förtydliga vad jag menade med vektoralgebra, jag ville att du skulle göra ungefär såhär:

För att accelerationen ska vara parallell med måste komposanterna ta ut varandra i y-led, vilket betyder att
