5
svar
137
visningar
Ironmann behöver inte mer hjälp
Polär form
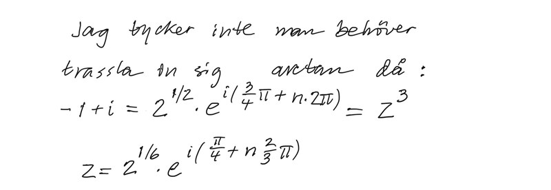
Skulle någon vilja kika om min lösning/redovisning ser okej ut och så jag har fått med allt som är relevant för uppgiften?

Jag tycker det ser mycket bra ut.
Jan Ragnar skrev:Jag tycker det ser mycket bra ut.
Okej tack!
En kommentar:

Här skulle jag vilja att det istället står
Yngve skrev:En kommentar:
Här skulle jag vilja att det istället står
Hade motiveringen därefter varit:
när n = 1 ger det vinkeln för θ = arg(i - 1) = 3pi/4 ?
