Polär form
Hej!
Jag vill skriva -3 + 3i i polärform.
Min första tanke är att ta absolutbeloppet av -3 + 3i vilket är √(-3)^2 + 3^2 som motsvarar 3√2
Nu måste jag skriva argumentet, jag har skissat detta:

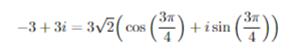
Rätt svar till uppgiften är dock:

Jag fattar inte hur dem kommit fram till det.
Är väldigt tacksam för hjälp
Vad är vinkeln i radianer från den positiva reela axeln (x-axeln i dagligt tal)?
Snygg skiss!
Argumentet är pi/2+v, se bild.
Med hjälp av symmetri kan du nog se hur stor vinkeln v är.

Yngve skrev:Snygg skiss!
Argumentet är pi/2+v, se bild.
Med hjälp av symmetri kan du nog se hur stor vinkeln v är.
Hej, ja det låter rimligt. Alltså att 90 grader = pi/2. Så det vi gör är att vi utför 360-90 = 270 och därmed får 3pi/2. Då förstår jag. Tack!
Nej det stämmer inte. Hur stor är vinkeln v?
Yngve skrev:Nej det stämmer inte. Hur stor är vinkeln v?
Går det inte att beräkna vinkeln v genom att ta pi/2 vilket är detsamma som 90 grader och sedan subtrahera det med 360?
Annars tänker jag att man kan ta pi/2+v
Är vinkeln v 270 eller är det helt fel tänkt?
Tack för svar
Nej, varför 360°?
Här, jag har vridit bilden, suddat bort oviktig information och rödmarkerat vinkeln v.
Ser du nu att vinkeln v är 45°, dvs pi/4?

Yngve skrev:Nej, varför 360°?
Här, jag har vridit bilden, suddat bort oviktig information och rödmarkerat vinkeln v.
Ser du nu att vinkeln v är 45°, dvs pi/4?
Yes det ser jag.
OK bra.
Kan du då säga hur stor vinkeln w är i denna bild?

135 grader @Yngve
Ja det stämmer. Eller 3pi/4 radianer.
Det är argumentet du söker.
Jaha men oj, då borde jag bara ha kollat på enhetscirkeln och själv insett att det var 135 grader. Ska komma ihåg det till nästa gång. Tack så mkt för hjälpen!!