Polär tyngdpunkt
Försökte lösa den här, men får inte rätt svar. Vad är fel? Arean fick jag från facit.


Ytelementet i polära koordinater är r dr dv, så det ska vara ett r till i integranden.
Brukar inte det dyka upp när man byter ut dxdy? Jag tyckte inte att jag gjorde det här 🤔
Det dyker upp då, men det dyker upp även när man bara rör sig med polära koordinater från början. Ytelementet ska vara så beskaffat att alla ytelementen tillsammans täcker hela ytan, och deras utsträckning i alla riktningar går mot noll när man gör gränsövergången i integralen.
Om du delar upp ytan med ett polärt rutnät ser du att en ruta har arean ungefär lika med r dr dv, inte dr dv.
Så att man får arean när man integrerar en etta gäller inte alla koordinatsystem?? Fattade jag rätt då?
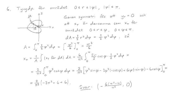
Integrerar du enbart ytelementen, alltså en etta gånger dem, så får du arean. Prova med den här figuren och se om det blir som i facit. Hur tyckte de att arean skulle räknas ut, förresten?
Jag fick samma area nu med ett r där ja. Aldrig tänkt på att det blir så förut.
Facit gjorde såhär, det är en gammal envariabeltenta, jag bara tyckte det borde vara lättare med dubbelintegral. Tack för hjälpen!

Micimacko skrev:Så att man får arean när man integrerar en etta gäller inte alla koordinatsystem?? Fattade jag rätt då?
Pröva att integrera fram arean för en cirkel med radien 2.
Smaragdalena skrev:Micimacko skrev:Så att man får arean när man integrerar en etta gäller inte alla koordinatsystem?? Fattade jag rätt då?
Pröva att integrera fram arean för en cirkel med radien 2.
Om jag gör som jag gjorde först verkar jag få omkretsen istället. Är det en slump eller kan det gälla flera figurer?