0
svar
264
visningar
Poler och nollställen - Amplitud
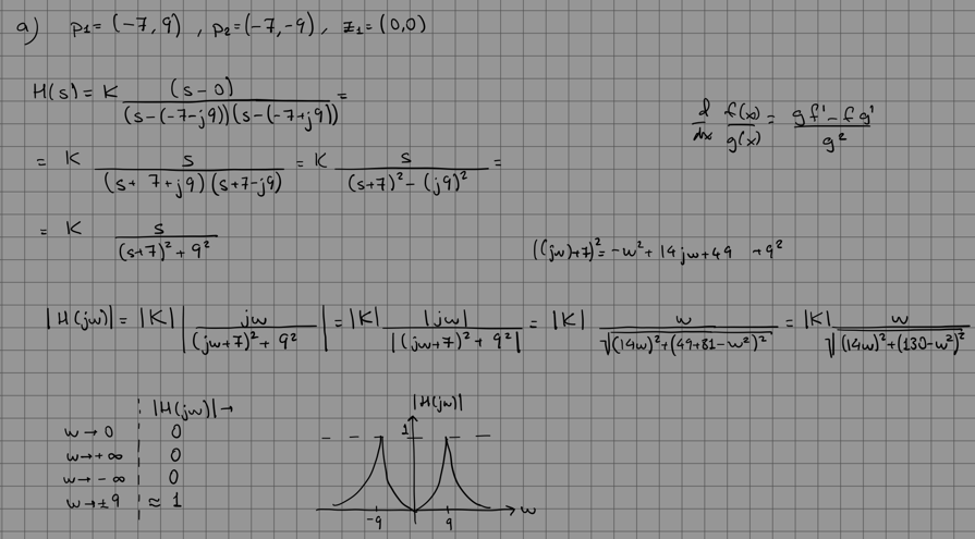
Hallå, till uppgiften nedan har jag tagit fram nollställen och poler till graf a och b, slängt in de i amplitudfunktionen. Jag uttrycker sen amplitudfunktionen och ser vad som händer när jag låter w närma sig extremvärden samt 0 och +-oändligheten. Vill sedan matcha med graferna till höger. Får dock samma resultat för a och b och undrar vad jag gör för fel.
Formeln för amplitudfunktionen är (18).


