Polynom av högre grad

Vet inte hur man börjar på denna uppgift.
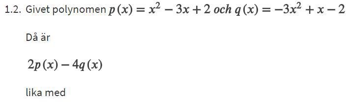
Är detta rätt?

Det är rätt
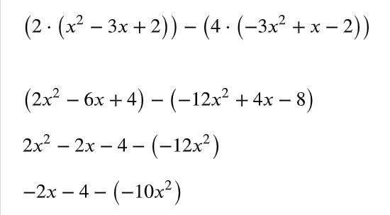
Fortsätt genom att bli av med ().
Ja, men skulle gissa att det ska förenklas också
Ja, det ska förenklas
Vad har jag gjort fel här? Får det inte rätt.

Du gör för många steg på en gång och slarvar bort saker. Få in minuset i bakre parentesen ordentligt först, sen kan du sätta ihop saker.
Kan du visa hur du skulle göra det?
Du ska gångra allt som står i parentesen med - 1, och sen ta bort parentesen
Allt som står i parentesen. Du har inte rört 4 och 8.
Varför ska man ta parenteserna gånger -1?
Du har ett minus framför parentesen, det är egentligen ett -1*(...). Men ettan skrivs inte ut. På samma sätt som 2(x+y) blir 2x+2y och inte 2x+y, man har ju parentesen där för att visa vilka tal som ska påverkas.
Ok, tack!
