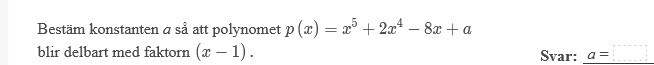
Polynom delbarhet
Fastnat på denna ett bra tag nu och hade uppskattat hjälp/tips. 
I vilket fall kan man bryta ut (x-1) från ett polynom?
Aaadu jag vet inte :D ?
Joodu! när man dividerar: )
Ogge1337 skrev:Aaadu jag vet inte :D ?
Du kan alltid skriva ett polynom i förhållande till dess nollställen.
Exempelvis om vi har polynomet f(x) =
så kan vi använda PQ-formeln för att få fram nollställena, vilket är x = 2 och x = -3
Då kan man skriva om f(x) i förhållande till nollställena. f(x) = (x-2)(x+3), vilket också har nollställena x=2 och x=3 (I många fall måste man även multiplicera med någon konstant).
Nu har du här att du kan bryta ut (x-1) vilket innebär i detta fall att en av nollställena till polynomet är x = 1. För vilket värde på a stämmer detta?
Jasså är det så enkelt? Höll på att dela (skrev fel innan) med liggande stolen och fick till slut att a=-5 vilket inte stämde. :D så i princip skulle det kunna stå (x-1)(20-5x)+5 här?