Polynom division med i
Den här gjorde vi snabbt i matte 3 och jag fick till och med hjälp i räknestugan.
Men hur delar man med i?
Här kommer mitt ärligt och totalt misslyckad försök:

När man ska dela med ett komplext tal brukar det vara enklast att förlänga med konjugatet.
Vad är konjugatet av i? Kommer du vidare?
Du gör som med vanliga tal där du får en komplex nämnare. Du kan få bort den från nämnaren genom att förlänga med komplexkonjugatet.
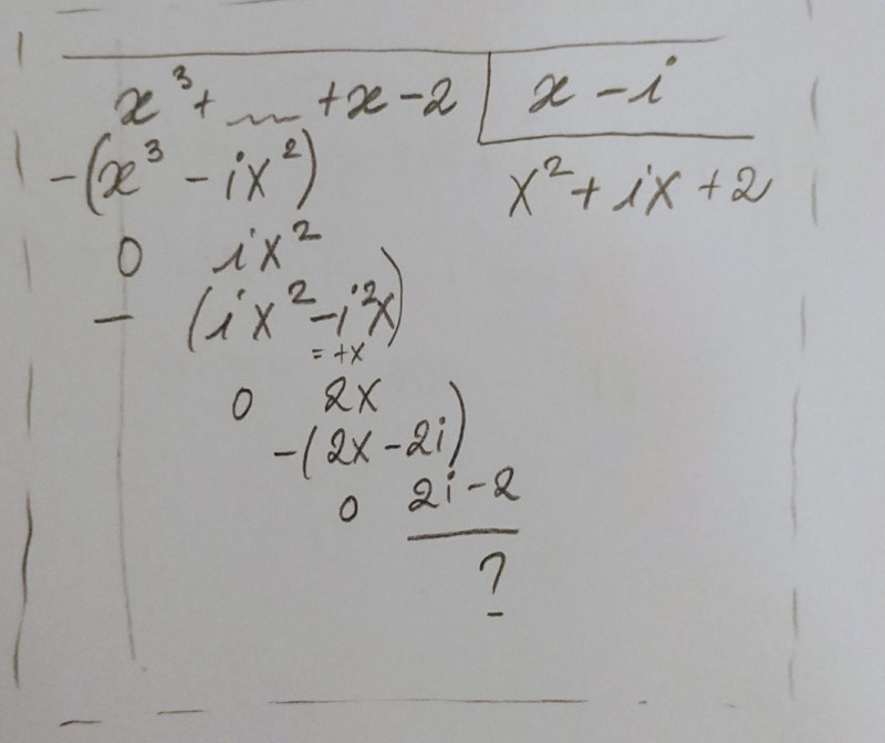
Ah men jag måste använda mig av den liggande stol. Polynomet är och delaren är . I början går det bra men efter blir det en soppa med i:or och z:or.
Daja skrev :en soppa med i:or och
Då får man ha rätt tallrik!

Jag fattar inte hur man löser uppgiften men gud va jag skrattar!
God morgon!
Jag förstår fortfarande inte. Jag fick en ny polynom att dela med ett term som innehöll i:
Dela med .
Här kommer mitt ärligt men löjligt försök.
.jpg?width=800&upscale=false)
Hur funkar den här liggande stol grej när det gäller i?
Du har råkat få med ett i för mycket säger WolframAlpha.Det gjorde att det blev lite knas på slutet.
Du har fått ix(x-i) till ix^2+x men sen har du glömt att det står minus framför hela parantesen
Så där du skrivit 0 2x borde det stå 0 0
... det är kvar -x som försvinner den +x i den ursprungliga ekvationen... just det!
Smaragdalena, varför delar du med ? Är det nåt förkortning?
Nej, det är jag som skriver fel. Konstigt att det blev så snyggt svar! Och det har gått så lång tid att jag inte kan redigera mitt inlägg.
Ok 👌 men iaf nu är jag med om hur allt detta fungerar :)