Polynom och olikhet med komplexa rötter
Hej,
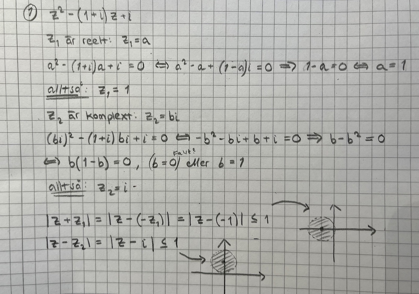
Jag har fastnat på följande uppgift:

Så här har jag tänkt:

Men jag vet inte riktigt hur jag ska "sammanställa" de två bilderna, d.v.s. när båda olikheterna är uppfyllda? Hur borde jag tänka?
starboy skrev:Hej,
Jag har fastnat på följande uppgift:
Så här har jag tänkt:
Men jag vet inte riktigt hur jag ska "sammanställa" de två bilderna, d.v.s. när båda olikheterna är uppfyllda? Hur borde jag tänka?
Rita de båda cirklarna i samma koordinatsystem. Du får ett litet "ögonformat" område där båda olikheterna gäller samtidigt.
Smaragdalena skrev:starboy skrev:Hej,
Jag har fastnat på följande uppgift:
Så här har jag tänkt:
Men jag vet inte riktigt hur jag ska "sammanställa" de två bilderna, d.v.s. när båda olikheterna är uppfyllda? Hur borde jag tänka?
Rita de båda cirklarna i samma koordinatsystem. Du får ett litet "ögonformat" område där båda olikheterna gäller samtidigt.
Tack! Men, hur kan jag matematiskt beskriva detta område?
Smaragdalena skrev:
Tack! Men, läs gärna sista meningen här i facit. Jag förstår inte riktigt vad man menar där och hur man fått fram z = -1 + i?
EDIT -tänkte fel.
starboy skrev:
Jag förstår inte riktigt vad man menar där och hur man fått fram z = -1 + i?
Alla punkter som ligger på den ena cirkeln uppfyller sambandet |z-i| = 1. Alla punkter som ligger på den andra cirkeln uppfyller sambandet |z+1| = 1.
Cirklarna skär varandra vid den/de punkter som ligger på båda cirklarna.
Den/dessa punkter kan vi alltså få fram genom att lösa elkvationssystemet
|z-i| = 1
|z+1| = 1
Med z = a+bi får vi
|a+(b-1)i| = 1
|(a+1)+bi| = 1



