2
svar
99
visningar
Raralala behöver inte mer hjälp
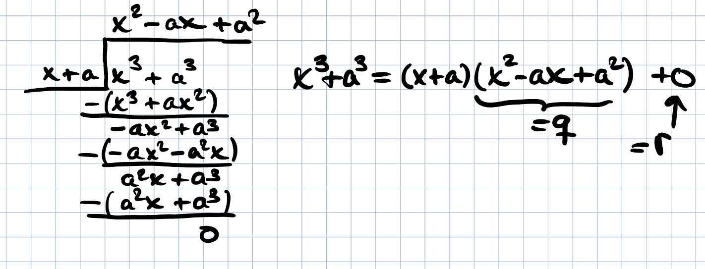
Polynomdivision
Hej, jag har fastnat på följande uppgift. Jag har försökt lösa den med liggande stolen men jag kommer aldrig fram till ett svar. Kan någon snälla hjälpa mig.
.jpg?width=800&upscale=false)
Tack!
