polynomdivision
får inte till denna division

jag kör liggande stolen och får det till
men får en rest på -4 så vet ej hur jag ska skriva ut det som svar algebraiskt
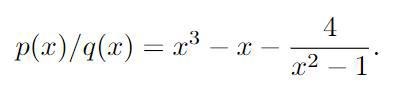
i facit har de skrivit 
så jag verkar få rätt med det första men förstår ej hur de får fram den sista termen
Formellt skrivs polynomdivisionen
I ditt exempel är r(x)=-4 och k(x)=
dr_lund skrev:Formellt skrivs polynomdivisionen
I ditt exempel är r(x)=-4 och k(x)=
hehe okej då var det inte svårare än att det kan vara bra att känna till den formella biten
tusen tack!
Divisionsalgoritmen för polynom säger
Om q(x) (ej nollpolynomet) är ett givet polynom och p(x) ett annat polynom så finns (unika) polynom w(x) och r(x), där r(x) har lägre grad än q(x), sådana att
p(x) = w(x)q(x) + r(x) (1).
r(x) brukar kallas restpolynomet, eller helt enket resten.
Om vi delar båda led i (1) med q(x) så får vi
p(x)/q(x) = w(x) + r(x)/q(x).
När du utför polynomdivision får du fram w(x) och r(x).
I ditt fall gäller att q(x) = x2 - 1, w(x) = x3 - x och r(x) = -4. Så detta förklarar svaret.