1
svar
66
visningar
Splash.e behöver inte mer hjälp
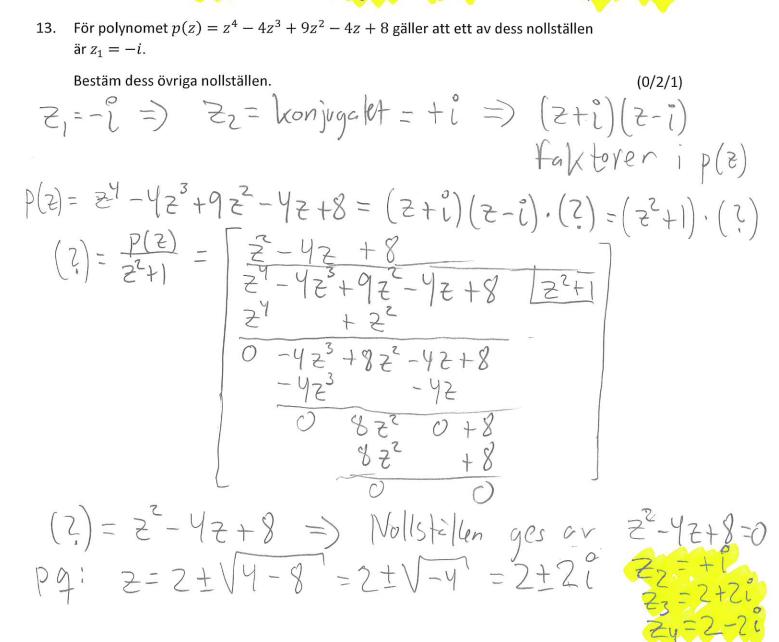
Polynomdivision

varför säger de att den andra roten är +i . De säger ju bara att den ena roten är -i så hur kan man dra den slutsatsen?
För polynom med reella koefficienter gäller att ickereella rötter uppträder parvis: om a+bi är en rot så är a-bi också det.
Jag tror man får lära sig det utan bevis.