polynomdivision
För att polynomdividera använder man oftast liggande stolen. Den fungerar vid de flesta situationerna. Dock har jag frågat en lärare men fick inget svar pågrund av att läraren själv aldrig gjort denna slags dividering. Det handlar om att dividera med komplexa tal. Exempelvis detta:
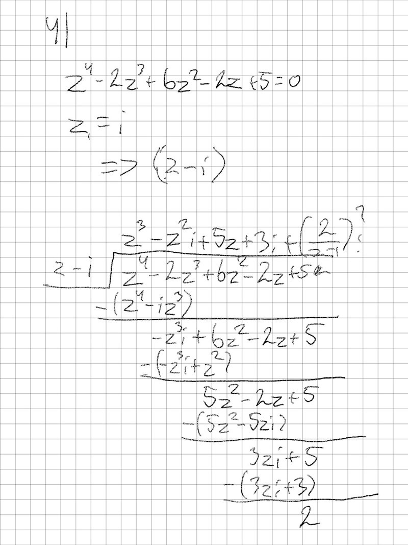
(z4-2z3+6z2-2z+5) dividerat med (z-i).
Egentligen är detta enkelt eftersom om man vet att i är en lösning, är också -i en lösning. Genom detta kan man multiplicera (z-i) med (z+i) som blir ett naturligt tal som enkelt kan dividera ekvationen ovan. Dock ville jag veta hur man utför liggande stolen med exempelvis z-i? Jag får själv inte rest 0, utan rest 2. Hur gör man?
Min lösning: 
När du tar z4-2z3+6z2-2z+5 - (z4 - iz3) blir det inte som du skrev (-z3i+6z2-2z+5) utan
(i-2)z3+6z2-2z+5
Sen dividerar du (i-2)z3 med z så får du (i-2)z2. osv.
Themuslim7 skrev:[...]
Det handlar om att dividera med komplexa tal. [...]
Dock ville jag veta hur man utför liggande stolen med exempelvis z-i? Jag får själv inte rest 0, utan rest 2. Hur gör man?
Man gör på samma sätt som med reella polynom. Men man behöver ibland tänka på att i2 = -1.
Mohammad Abdalla skrev:När du tar z4-2z3+6z2-2z+5 - (z4 - iz3) blir det inte som du skrev (-z3i+6z2-2z+5) utan
(i-2)z3+6z2-2z+5
Sen dividerar du (i-2)z3 med z så får du (i-2)z2. osv.
Märkte att jag gjort räknefel, tack