Polynomdivision och faktorsatsen
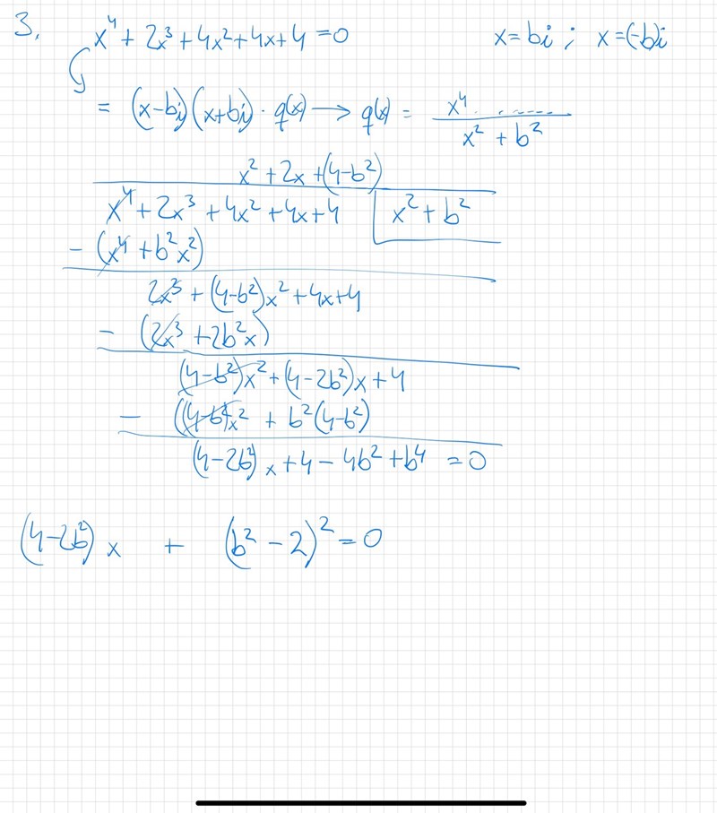
4:de grads ekvationen har en rent imaginär rot, så vill den att jag ska lösa fram resterande rötter. Vet inte riktigt hur jag ska fortsätta. Jag vet att resten ska bli = 0 men det blir väldigt rörigt när jag kommer dit måste jag erkänna.

Den blir 0 om b2 = 2, ser det ut som.
Laguna skrev:Den blir 0 om b2 = 2, ser det ut som.
När du pekar ut det sådär, så ser jag vad du menar, men finns det något sätt o lösa det algebraiskt?
Jag hittade en alternativ lösning. Tänkte att om x = bi, så kan man sätta in det i fjärdegradsfunktionen och få att realdelen = 0 samt imaginärdelen = 0, då hela fjärdegradaren är lika med 0. Jag vill dock veta hur jag löser uppgiften som jag tänkte från första början, missar säkert något
Raymond skrev:
När du pekar ut det sådär, så ser jag vad du menar, men finns det något sätt o lösa det algebraiskt?
Ja.
ger oss att , vilket ger , vilket ger
Yngve skrev:Raymond skrev:När du pekar ut det sådär, så ser jag vad du menar, men finns det något sätt o lösa det algebraiskt?
Ja.
ger oss att , vilket ger , vilket ger
Men det är två olika termer i ekvationen. Om en ekvation ax + b = 0, hur kan du påstå med säkerhet att b måste vara lika med 0?
Raymond skrev:Yngve skrev:Raymond skrev:När du pekar ut det sådär, så ser jag vad du menar, men finns det något sätt o lösa det algebraiskt?
Ja.
ger oss att , vilket ger , vilket ger
Men det är två olika termer i ekvationen. Om en ekvation ax + b = 0, hur kan du påstå med säkerhet att b måste vara lika med 0?
Eftersom x är en formell obestämd variabel, och inte är något okänt tal i det här fallet. Vi måste alltså ha exakt 0 st x för att ekvationen ska gälla algebraiskt, och således måste också b vara 0. Ett polynom med nollskild koefficient framför x kan aldrig vara lika med nollpolynomet.
Raymond skrev:Men det är två olika termer i ekvationen. Om en ekvation ax + b = 0, hur kan du påstå med säkerhet att b måste vara lika med 0?
För att polynomet kx+m ska ha värdet 0 för alla möjliga värden på x (dvs för att linjen y = kx+m ska sammanfalla med x-axeln) så måste både k om m vara lika med 0.
(y = 0 innebär alltså i det här fallet y = 0*x+0.)