Polynomdivision och kvadratkomplettering
Hej,
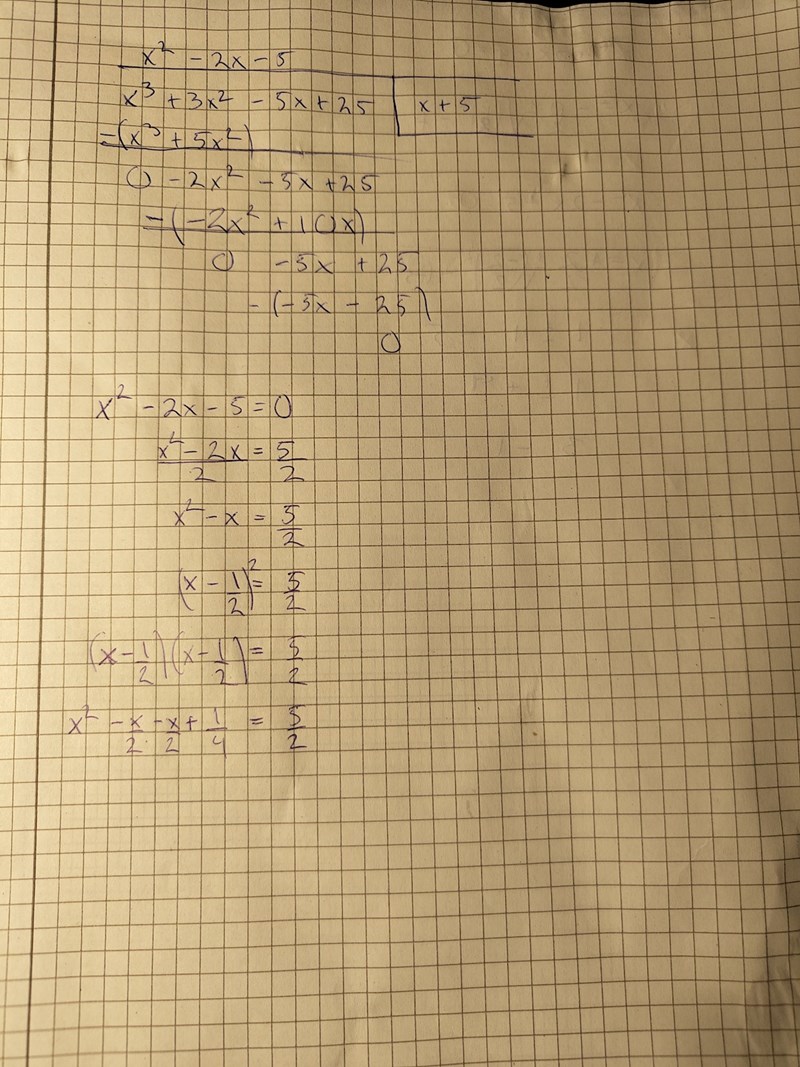
Jag har ett tal där jag ska hitta rötterna till följande uppgift:
Jag är inte super på polynomdivisonen men det känns som att jag får ut rätt då resten blir 0.
I kvadratkompletteringen har jag börjat snurra till det och får inte ut två värden av x som är rätt när jag försökt peta in det i ekvationen.
Någon som ser vart det går snett?
Tacksam för hjälpen!


Men x2 - x är inte lika med (x - 1/2)2
Du kan också kontrollera din polynomdivision genom att i detta fallet multiplicera kvoten med nämnaren. Får du tillbaka samma polynom har du räknat rätt.
Hur skriver jag om x2 - x för att lösa ekvationen? Jag kan skriva det som x(x-1) men vet inte hur jag går vidare med det för att lösa ekvationen. Jag har dubbelkollat polynomdivisonen så andragradsekvationen jag ska lösa är x2 - 2x +5 = 0. Vet inte vad det är med denna ekvationen som gör det så svårt att lösa den men den har visat sig knivig. Tack igen!
Att ta (x - 1/2)2 är rätt steg i kvadratkompletteringen, men det fattas en konstant, så likheten stämmer inte längre. Utveckla kvadraten som du gör, och du ser då att du har en konstant + 1/4 som inte finns med i x2-x. Dra alltså bort den från både (x - 1/2)2 och 5/2 så har du likhet igen.
Det är enklare att utgå från x2 – 2x = 5
och komplettera den kvadrat som börjar med x2 – 2x
Addera 1 till båda led: x2 – 2x + 1 = 5 + 1
Nu är vänstra ledet en jämn kvadrat.
Felet ligger redan i tredje raden: (x2 – 2x)/2 är inte lika med x2 – x .
Som vanligt tittade jag inte på hela uppgiften, det hade som sagt blivit fel redan tidigare. Det jag skrev stämmer om x2 - x = 5/2 hade varit rätt.
Precis som jag i #2.
Och jag kollade aldrig raderna ovanför.