Polynomdivision och primitiv funktion
Hej, jag skulle behöva hjälp att ta fram en primitiv funktion till . Jag har använt mig av kvadratkomplettering men får fel svar. Ser någon var det går snett?
har du testat polynomdivision?
yes, får rest då
OK, hur ser ditt uttryck ut med restterm?
Det jag får är och sen 5 som rest. Är inte säker på hur jag ska skriva det då. Blir det möjligtivs
Laura2002 skrev:Det jag får är och sen 5 som rest.
Ja det stämmer.
Är inte säker på hur jag ska skriva det då. Blir det möjligtivs
Du undrar alltså om de båda uttrycken är identiska, eller hur?
Kan du komma på något enkelt sätt att ta reda på det?
Yes, om man multiplicerar parenteserna i nämnaren och sedan adderar 5 så får man täljaren
Fast så som jag skrev det är fel då jag satte faktorerna i nämnaren
Laura2002 skrev:Det jag får är och sen 5 som rest. Är inte säker på hur jag ska skriva det då. Blir det möjligtivs
Ditt bråk kan alltså skrivas som
X+1 +5/(x-1)
Vilket är enklare att integrera
Yes, fick fram det också men gör fortfarande något fel :/
Du behöver inte hålla på med variabelsubstitition.
Integranden är , vilket kan skrivas som , dvs en summa av tre termer.
Du kan nu direkt ta fram en primitiv funktion till detta uttryck, term för term.
Tillägg: 16 nov 2022 11:32
Skrev fel nämnare på sista termen.
Der ska vara
Hmm okej, men hur får du fram det?
De primitiva funktionerna till summan f(x)+g(x)+h(x) är F(x)+G(x)+H(x)+C, där F, G och H är primitiva funktioner till f, g och h.
Det är jag med på men undrar hur du får tre termer där de två första saknar nämnare
Okej kanske kom på, skriver om ca 15 min om jag inte har fått rätt på det då
det funkade inte så som jag tänkte :(
Laura2002, försök att inte spamma din tråd. Detta räknas som bumps, vilket inte är tillåtet inom 24h. Använda istället "kommentera" eller redigera ditt inlägg om ingen annan har skrivit något. /Moderator
Jag kan tycka att det är lite overkill att använda poldiv här. 
Yngve skrev:Du behöver inte hålla på med variabelsubstitition.
Integranden är , vilket kan skrivas som , dvs en summa av tre termer.
Du kan nu direkt ta fram en primitiv funktion till detta uttryck, term för term.
Tillägg: 16 nov 2022 11:32
Skrev fel nämnare på sista termen.
Der ska vara
Ahhh super, var det jag fastnade på. Då hänger jag med! Tusen tack för all hjälp
Laura2002 skrev:Det är jag med på men undrar hur du får tre termer där de två första saknar nämnare
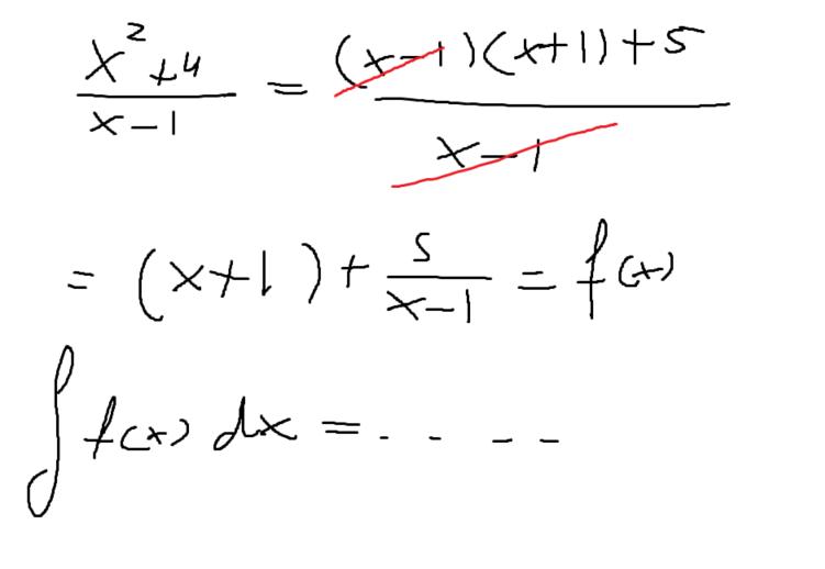
Metod 1: Polynomdivision.
(x2+4)/(x-1) ger kvot (x+1) och rest 5, vilket innebär att (x2+4)/(x-1) = (x+1)+5/(x-1).
Detta är på samma sätt som 13/4 = 3 med rest 1, dvs 13+1/4.
Metod 2: Lägg till och ta bort.
(x2+4)/(x-1) = (x2-1+5)/(x-1) = ((x-1)(x+1)+5)/(x-1) = (x-1)(x+1)/(x-1)+5/(x-1) = (x+1)+5/(x-1)

