5 svar
86 visningar
lamayo behöver inte mer hjälp
lamayo 2576
Postad: 27 okt 2019 12:41

polynomdivision, rest

Beräkna kvoten x3-12x2-42x-3.

Jag utförde polynomdivision och det blev -123. Men varför är det inte resten?

Tacksam för hjälp!!

Ture 11059 – Livehjälpare
Postad: 27 okt 2019 12:52 Redigerad: 27 okt 2019 14:03

Hur fick du kvoten till -123?

(Om det var resten du menade så fick jag den till 12)

Visa hur du gjort så kan vi hjälpa dig därifrån

Edit: Oj jag räknade fel, resten blir -123

lamayo 2576
Postad: 27 okt 2019 13:44
Ture skrev:

Hur fick du kvoten till -123?

(Om det var resten du menade så fick jag den till 12)

Visa hur du gjort så kan vi hjälpa dig därifrån

Ture 11059 – Livehjälpare
Postad: 27 okt 2019 14:02 Redigerad: 27 okt 2019 14:06

Du har räknat rätt! Glöm det jag skrev tidigare.

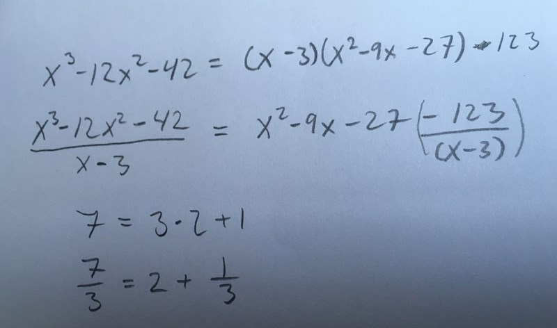
så x3-12x2-42=(x-3)(x2-9x-27) -123

Micimacko 4136
Postad: 27 okt 2019 14:15

Var det det här du menade med att det inte är resten? Jämför med vanliga tal isf så ser du lättare. 

lamayo 2576
Postad: 27 okt 2019 16:51
Micimacko skrev:

Var det det här du menade med att det inte är resten? Jämför med vanliga tal isf så ser du lättare. 

oj shit vad självklart det blev nu! Tack!

Svara
Close