1
svar
147
visningar
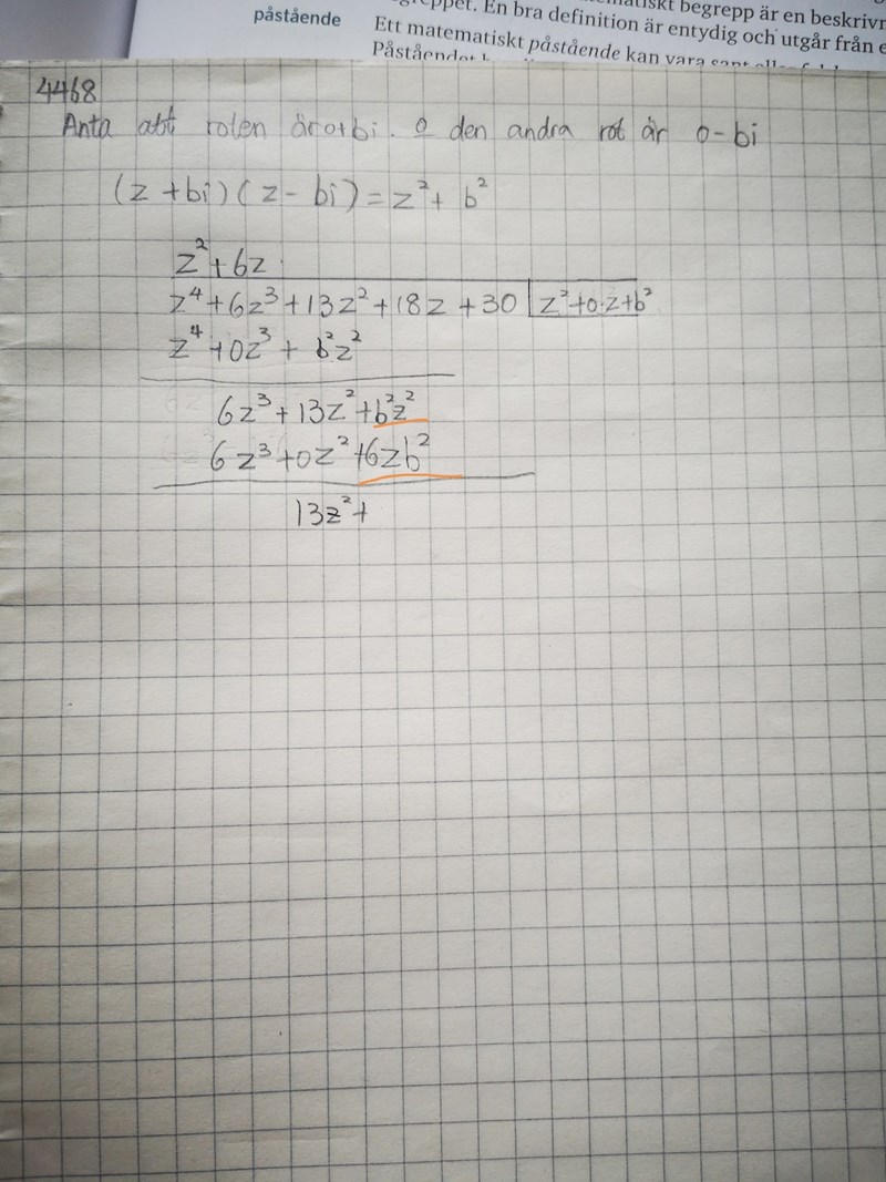
Polynomekvationer
Tja, behöver hjälp med den här frågan.

Fattar inte hur jag ska fortsätta. Kan man subtrahera så?

Tack på förhand
Se första steget i din polynomdivision. Där ska du subtrahera ALLA termerna i z4 +0z3 + b2z2 Sedan likadant i fortsättningen. Måhända kommer du att behöva utnyttja att bekanta termen är rötternas produkt. En liknande regel finns också för Z-termen, men den får du kolla upp själv för 4:e gradspolynom.