4
svar
315
visningar
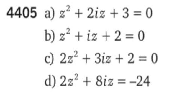
Polynomekvationer
Är mina beräkningar på b) korrekt?

Ja, det ser rätt ut.
Jag får fel svar på d)
jag glömde lägga till i inom parentesen i VL på b)?
Biorr skrev:Jag får fel svar på d)
Faktoriseringen i VL borde väl ha ett (verkade vara utsuddat?) och dessutom i HL verkar det som du skrev om till . Det stämmer inte eftersom :et blir då kvadrerat två gånger. Det stämmer att
