3
svar
153
visningar
DSGIS86 behöver inte mer hjälp
Polynomekvationer av högre grad
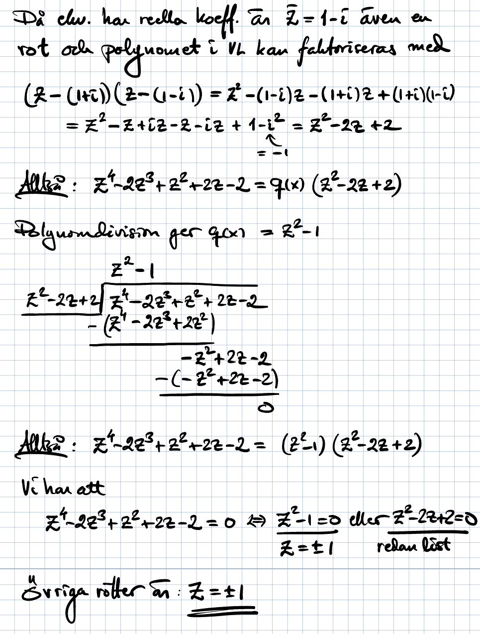
förstår att en annan rot borde vara konjugatet till den rot som är given, men hur får jag fram de andra 2 rätterna. Genom prövning?
Du har då att är en rot, medan är en annan. Enligt faktorsatsen kan du då faktorisera ut och från polynomet i fråga.
DSGIS86 skrev:
förstår att en annan rot borde vara konjugatet till den rot som är given, men hur får jag fram de andra 2 rätterna. Genom prövning?
Lösningsförslag
Visa spoiler

Tusen tack