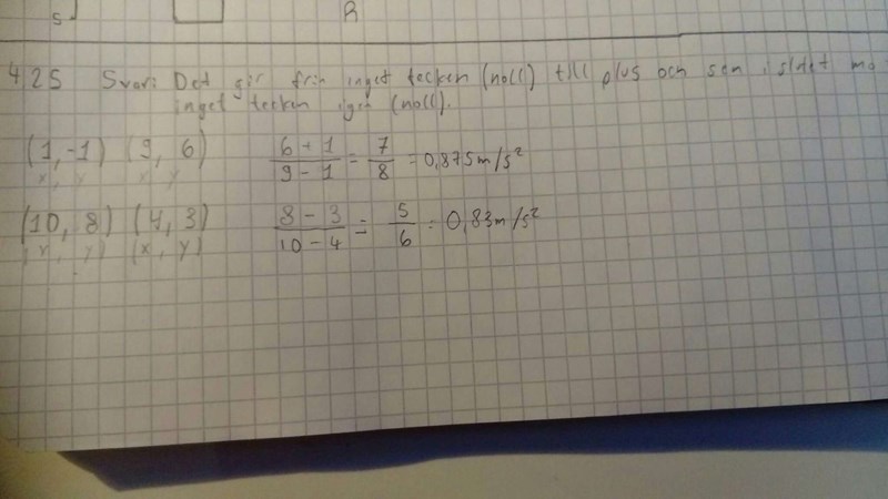
Positiv acceleration är negativ
Hej
Jag har försökt lösa en uppgift och enligt mig så är accelerationen antingen 0 eller positiv som svar på uppgiften. Fast facit menar att typ momentanaccelerationen är negativ och jag fattar inte hur hur t.ex. 0,83 m/s^2 är negativt (då jag mätt med linjal efter 6 sekunder och hittat punkter o.s.v.).
Uppgiften:
Mitt svar:
Facitsvaret:

Om jag fattar dina sparsamma anteckningar rätt, så räknar du som om det vore hastigheten som är på y-axeln, men det är sträckan. Det du har beräknat är inte accelerationen, utan hastigheten, och om hastigheten är mindre i det andra intervallet än i det första, måste accelerationen vara negativ.
Jag blev, liksom du, först lurad av beteckningarna på y-axeln. Läser man det snabbt så läser man enheten "m/s" på y-axeln, men så står det inte. Det står ju faktiskt enheten "m", för sträckan "s".
Alltså ett s(t)-diagram.
Jag tycker det är enklast att se vad accelerationen har för tecken genom att först skissa v(t), och SEDAN titta på tangentens lutning i den skissade v(t)-grafen
JohanF skrev:Jag blev, liksom du, först lurad av beteckningarna på y-axeln. Läser man det snabbt så läser man enheten "m/s" på y-axeln, men så står det inte. Det står ju faktiskt enheten "m", för sträckan "s".
Alltså ett s(t)-diagram.
Jag tycker det är enklast att se vad accelerationen har för tecken genom att först skissa v(t), och SEDAN titta på tangentens lutning i den skissade v(t)-grafen
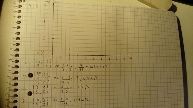
Är det såhär du menar? Fast varför ökar hastigheten vid 7 sekunder till 1,33 m/s?
Manoel skrev:JohanF skrev:Jag blev, liksom du, först lurad av beteckningarna på y-axeln. Läser man det snabbt så läser man enheten "m/s" på y-axeln, men så står det inte. Det står ju faktiskt enheten "m", för sträckan "s".
Alltså ett s(t)-diagram.
Jag tycker det är enklast att se vad accelerationen har för tecken genom att först skissa v(t), och SEDAN titta på tangentens lutning i den skissade v(t)-grafen
Är det såhär du menar? Fast varför ökar hastigheten vid 7 sekunder till 1,33 m/s?
Ja, det är så jag menar. Jag tror att det är mätsvårigheter som gör att du får större lutning på tangenten vid t=7 än vid t=6.
Jag tycker att tangentens lutning (dvs hastigheten) ser störst ut vid t=6. Och minst vid t=0 och t=12
Ett alternativ till att skissa hastigheten för att sedan ta fram accelerationen är att titta på kurvans krökning. Om kurvan kröker ”uppåt” så är accelerationen positiv. Om kurvan kröker ”neråt” så är accelerationen negativ. Där kurvan inte har någon krökning (rak kurva) så är accelerationen noll.
PATENTERAMERA skrev:Ett alternativ till att skissa hastigheten för att sedan ta fram accelerationen är att titta på kurvans krökning. Om kurvan kröker ”uppåt” så är accelerationen positiv. Om kurvan kröker ”neråt” så är accelerationen negativ. Där kurvan inte har någon krökning (rak kurva) så är accelerationen noll.
Fast kurvan till uppgiften 4.25 kröker ju aldrig neråt och endå så är det negativ acceleration enligt facit efter 6 sekunder.
PATENTERAMERA skrev:Ett alternativ till att skissa hastigheten för att sedan ta fram accelerationen är att titta på kurvans krökning. Om kurvan kröker ”uppåt” så är accelerationen positiv. Om kurvan kröker ”neråt” så är accelerationen negativ. Där kurvan inte har någon krökning (rak kurva) så är accelerationen noll.
Fast hur ska jag få fram accelerationen om jag fått fram hastigheten på de olika punkterna (t.ex. 14,10)?
Edit: Det blir svårare eftersom det är en böjd kurva och inte en sådan där som är rak i vissa delar.
Rita en kurva som går genom de punkter där t = 5 och där t = 7 så har du en lämplig rät linje att jämföra med.
Smaragdalena skrev:Rita en kurva som går genom de punkter där t = 5 och där t = 7 så har du en lämplig rät linje att jämföra med.
Okej. Fast jag får inga bra värden för att hitta lutningen av punkten på kurvan vid t=5. Kan jag använda någon annan tidpunkt?
Rita en kurva som går genom de punkter där t = 5 och där t = 7 så har du en lämplig rät linje att jämföra med.
Det behöver du inte någon lutning i punkten t = 5 för att göra.
Smaragdalena skrev:Rita en kurva som går genom de punkter där t = 5 och där t = 7 så har du en lämplig rät linje att jämföra med.
Det behöver du inte någon lutning i punkten t = 5 för att göra.
Okej. Hittade en linje, med mitten vid 6s, som går genom punkterna (10, 9) & (3, 0). Hastigheten är 1,29 m/s. Fast det krävs 2 olika hastigheter för att få fram en medelacceleration. Vilket gör att jag inte kan använda formeln i fysikboken för beräkna medelaccelerationen. Kanske momentanaccelerationen? Då blir det a = 1,29/x = y m/s^2 (a=v/t). Fast vad ska jag sätta in för tid?
Manoel skrev:Smaragdalena skrev:Rita en kurva som går genom de punkter där t = 5 och där t = 7 så har du en lämplig rät linje att jämföra med.
Det behöver du inte någon lutning i punkten t = 5 för att göra.
Okej. Hittade en linje, med mitten vid 6s, som går genom punkterna (10, 9) & (3, 0). Hastigheten är 1,29 m/s. Fast det krävs 2 olika hastigheter för att få fram en medelacceleration. Vilket gör att jag inte kan använda formeln i fysikboken för beräkna medelaccelerationen. Kanske momentanaccelerationen? Då blir det a = 1,29/x = y m/s^2 (a=v/t). Fast vad ska jag sätta in för tid?
Varför följer du inte rådet du har fått? Rita en linje som går genom (5;2,5) och (7;5,5). Då får du fram en rät linje med konstant lutning, d v s accelerationen är 0. Du bör se att den röda linjen kröker sig bort från den räta linjen, d v s har en annan acceleration.
Smaragdalena skrev:Manoel skrev:Smaragdalena skrev:Rita en kurva som går genom de punkter där t = 5 och där t = 7 så har du en lämplig rät linje att jämföra med.
Det behöver du inte någon lutning i punkten t = 5 för att göra.
Okej. Hittade en linje, med mitten vid 6s, som går genom punkterna (10, 9) & (3, 0). Hastigheten är 1,29 m/s. Fast det krävs 2 olika hastigheter för att få fram en medelacceleration. Vilket gör att jag inte kan använda formeln i fysikboken för beräkna medelaccelerationen. Kanske momentanaccelerationen? Då blir det a = 1,29/x = y m/s^2 (a=v/t). Fast vad ska jag sätta in för tid?
Varför följer du inte rådet du har fått? Rita en linje som går genom (5;2,5) och (7;5,5). Då får du fram en rät linje med konstant lutning, d v s accelerationen är 0. Du bör se att den röda linjen kröker sig bort från den räta linjen, d v s har en annan acceleration.
Jaha, fast hittils i Fysik 1 så brukar man väl bara ha 1 värde på x och ett på y (x,y)? Varför har du tre siffror?
(5, 2) är en punkt och problem uppstår om man vill nämna punkten med x = 5 och y = 2,5, för då skulle det bli (5,2,5) och då vet man inte vad som är vad. Då väljer man att ha semikolon som skiljetecken i stället så man kan ha komma som decimalkomma. Om man använder decimalpunkt, som engelsktalande gör, hade det stått (5, 2.5) i stället.
Det är alltså inte tre tal mellan parenteserna, bara två.
Okej, nu hänger jag med Smaragdalena. Fast jag har fortfarande inte räknat på någon acceleration eftersom jag inte har 2 hastigheter och 2 tidpunkter för att sätta in i en "Medelacceleration" formel.
Varför vill du beräkna en medelacceleration? Det hör inte till uppgiften (jämför med facit, där har man inte gjort det). Det ger inga pluspoäng på ett prov att göra sådant som inte hör till uppgiften.
Smaragdalena skrev:Varför vill du beräkna en medelacceleration? Det hör inte till uppgiften (jämför med facit, där har man inte gjort det). Det ger inga pluspoäng på ett prov att göra sådant som inte hör till uppgiften.
Vet inte, av bara farten kanske (tidigare uppgifter var typ sånt). Fast nu fattar jag i.a.f. att kurvan visar på att någon/något rör sig framåt med acceleration och sen avtar accelerationen och det blir ingen acceleration och sen så blir det bromsning och sen så stannar någon/något.