2
svar
74
visningar
cfsilver442 behöver inte mer hjälp
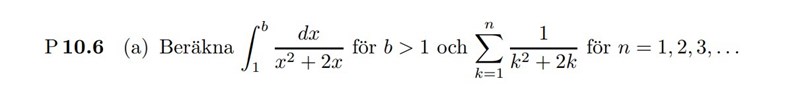
Positiva serier
Hej, förstår ej vad den menar med att räkna ut följande summa för n = 1, 2, 3...

såhär ser svaret ut:

jag förstår verkligen inte var jag ska börja tänka...
Summan för n = 1 är 1/3
Summan för n = 2 är 1/3 + 1/8
Summan för n = 3 är 1/3 + 1/8 + 1/15
osv
Men vi vill ha ett allmänt uttryck i n så vi slipper summera tusen termer om n = 1000.
Jag skulle partialbråksuppdela 1/(k2+2k) = 1[k(k+2)] = A/k + B/(k+2) för A = 1/2 = –B
Då kan summan från 1 till n skrivas
(1/2) [(1/1 – 1/3 + 1/2 –1/4 + 1/3 –1/5 + 1/4 – 1/6 + 1/5 –1/7 + …
… + 1/(n–2) –1/n + 1/(n–1) – 1/(n+1) + 1/n – 1/(n+2)].
Vi ser att vi kan stryka alla termer utom
(1/2) [1/1 + 1/2 – 1/(n+1) – 1/(n+2)]
Grymt tackar!