Börja med att skriva om 16 som en potens av 2.
16=4^2
Marcus N skrev:16=4^2
Jag skrev:
Börja med att skriva om 16 som en potens av 2.
2, inte 4.
Hur ser din ekvation ut när du sätter in detta?
Marcus N skrev:
Det kan du göra och sen löser du ekvationen och ta reda på vad x är.
Ska x^(3/2) blir 2^9 eller?
Det stämmer
Marcus N skrev:
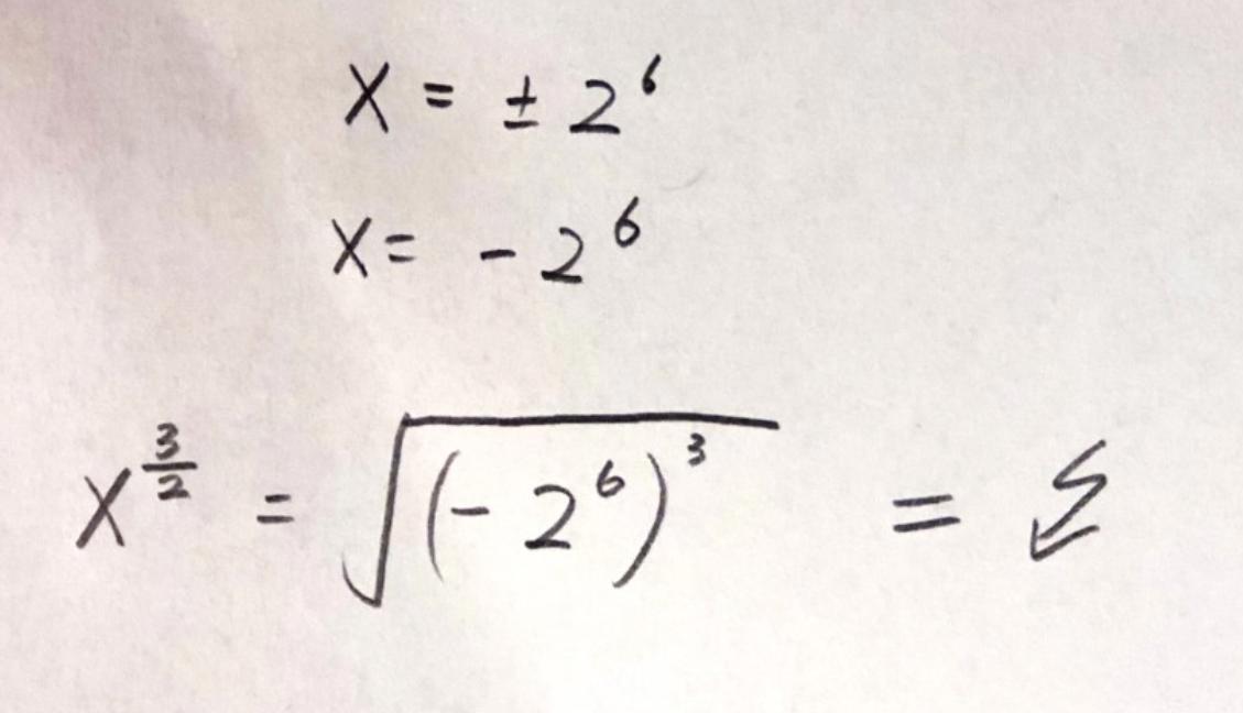
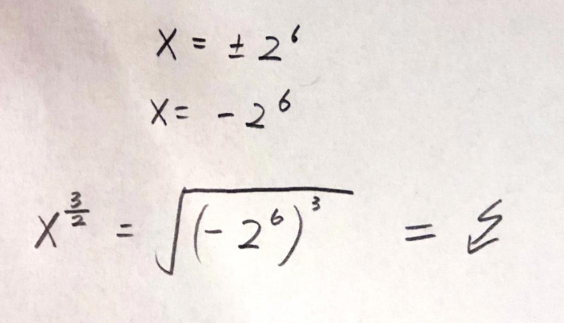
Tänk på att ekvationen x^2 = 2^12 har två lösningar
Mohammad Abdalla skrev:Marcus N skrev:
Tänk på att ekvationen x^2 = 2^12 har två lösningar
Så x är +/-x^6 därför blir svaret också +/-2^9 ?
Hallå??
Jag har tittat på facit
Utan minus tecken.
Man kan bara dra kvadratroten ur positiva tal (och 0), så VL existerar inte för negativa tal.
Smaragdalena skrev:Man kan bara dra kvadratroten ur positiva tal (och 0), så VL existerar inte för negativa tal.

Man kan inte ta kvardrat ut -2^18, stämmer det?
Marcus N skrev:Smaragdalena skrev:Man kan bara dra kvadratroten ur positiva tal (och 0), så VL existerar inte för negativa tal.
Man kan inte ta kvardrat ut -2^18, stämmer det?
Stämmer bra!
Men det är något man behöver notera i sin lösning.



